IV. Analyse bivariée
A. Le risque relatif et l’odds ratio
Permet d’évaluer la dépendance entre 2 variables qualitatives binaires.
- Tableau de contingence :
- On utilise ce tableau pour se représenter les données.
- On a 2 variables qualitatives binaires
- Maladie : positif (malade) ou négatif (sain). C’est l’événement.
- Exposition : positif(exposé) ou négatif (non exposé). C’est le facteur d’exposition.
- On a 4 modalités observées :
- a : malade qui a été exposé
- b : sain qui a été exposé
- c : malade qui n’a pas été exposé
- d : sain qui n’a pas été exposé
|
M+ |
M- |
| exposés |
a |
b |
| non-exposés |
c |
d |
- Le risque relatif RR :
- Définition : risque de survenue d’un événement (malade) dans un groupe exposé à un facteur d’exposition par rapport à un autre groupe non exposé.
- Anglais : relative risk, R.R.
- Utilisé dans les études de cohorte.
- Calcul : RR = [a/(a+b)] / [c/(c+d)]
- L’odds ratio OR :
- Définition : rapport de la cote d’exposition chez les sujets ayant présenté l’événement (malade) et ceux ne l’ayant pas présenté (non malade).
- Anglais : odds ratio
- Synonyme : rapport des cotes, rapport des chances
- Utilisé dans les études cas-témoins.
- Calcul : OR = [a/c] / [b/d] = ad/bc
- Interprétation :
- Ces 2 indices s’interprètent de la même façon.
- Intervalle de variation : [0 à +∞ [
- Si =1, pas de dépendance
- Si <1, association négative, facteur protecteur
- Si > 1, association positive, facteur de risque
- Toujours interpréter en fonction de l’IC (Intervalle de Confiance)
- Avantage du RR par rapport à l’OR
- On peut donner une traduction littérale, une interprétation intuitive au RR mais pas de l’OR.
- Par ex : un RR égale à 2 signifie que la population exposée a 2 fois plus de risque de présenté l’événement que la population non exposée. Un OR égale à 2 n’aura pas de traduction littérale.
- Comment passer de l’OR au RR ?
- Dans les études cas témoins, la prévalence d’un événement (la maladie étudiée souvent) ne correspond pas à la prévalence dans la population générale car elle a été mesurée dans un échantillon sélectionné.
- Lorsque la prévalence de la maladie dans la population générale est rare (< 5-10%), on peut approximer l’OR par le RR.
- Dans les études de cohorte, la prévalence de l’événement correspond à celle de la population générale, on peut utiliser le RR.
- Cas particulier des variables censurées : le rapport des risques instantanés
Exercice Prescrire : B.A.-BA n°2 : « Différence des risques absolus, risque relatif, variation relative du risque, nombre de patients à traiter (NNT) »
B. Le rapport des risques instantanés (Hazard ratio)
- Définition : risque de mourir (variable censurée) si on est exposé à un facteur d’exposition (variable qualitative binaire) à un moment donné.
- Anglais : Hazard Ration, HR
- Calcul : à partir du modèle de Cox. Il correspond au rapport des risques instantanés dans le groupe traité divisé par le risque dans le groupe contrôle.
- Interprétation : Il s’interprète comme le RR mais a la particularité d’être variable dans le temps.
- Exemple ici
C. Coefficient de corrélation de Pearson
- Définition : mesure de l’intensité de la relation entre 2 variables quantitatives et de son sens lorsque cette relation est monotone.
- Condition d’application :
- Distribution normale
- Variables quantitatives continues
- Pas de valeurs extrêmes

- Interprétation :
- Compris entre -1 et +1
- Le signe de r indique le sens de la relation :
- – : négative
- + : positive
- La valeur absolue de r indique l’intensité de la relation, de la capacité à prédire la valeur de la 2ème variable lorsque l’on connaît la valeur de la 1ère
- 0 : nulle
- 0,5 : faible
- 0,75 : moyenne
- 0,9 : forte
- 1 : parfaite
- Significativité de la corrélation :
- Le calcul du coefficient de corrélation ne constitue que la 1ère étape pour analyser la relation entre 2 variables. Cette étape exploratoire doit être validée par un test de significativité. Il faut s’assurer que cette corrélation n’est pas due au hasard.
- On fixe l’hypothèse H0 : il n’y a pas de relation entre les 2 variables.
- Absence de biais : on peut obtenir un résultat biaisé qui sera significatif mathématiquement mais faux en réalité.
- Influence d’une valeur exceptionnelle : dans cet exemple, la valeur exceptionnelle va permettre d’obtenir une corrélation positive alors que d’après le graphique elle est négative.
- Emboîtement des relations et composantes d’échelle : dans cet exemple, il existe bien une relation positive mais lorsqu’on regarde les 3 sous-populations, on observe qu’il existe une relation négative. Il existe une composante d’échelle (population/sous-population) dans la relation observée avec des conclusions variables en fonction de l’échantillon considéré.
- Conclusion erronée sur l’absence de relation : il existe bien une relation (non-linéaire et non-monotone) alors que r = 0.
Valeur exceptionnelle
Composante d’échelle
Courbe en U
D. Coefficient de corrélation de Spearman
Ce coefficient est identique à celui de Pearson, sauf qu’il s’applique lorsqu’on ne peut pas utiliser Pearson. Il s’interprète de la même façon.
Synonyme : coefficient de corrélation de rang
- Quand l’utiliser ?
- Distribution non normale des variables
- Coefficient de Pearson semble influencé par des valeurs extrêmes
- Variables qualitatives
E. Coefficient de corrélation intraclasse
Il permet d’évaluer la concordance entre 2 variables quantitatives. Il permet de déterminer si la variation des mesures est dû au hasard ou pas.
- Calcul : via un logiciel statistique
- Interprétation : ?
En cours de rédaction…
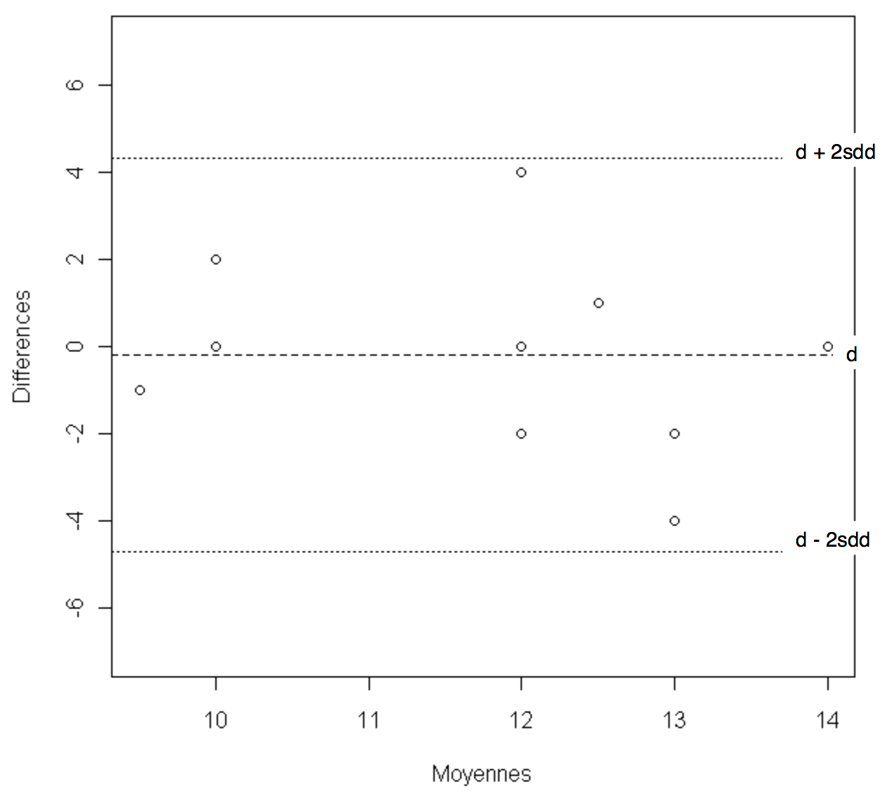
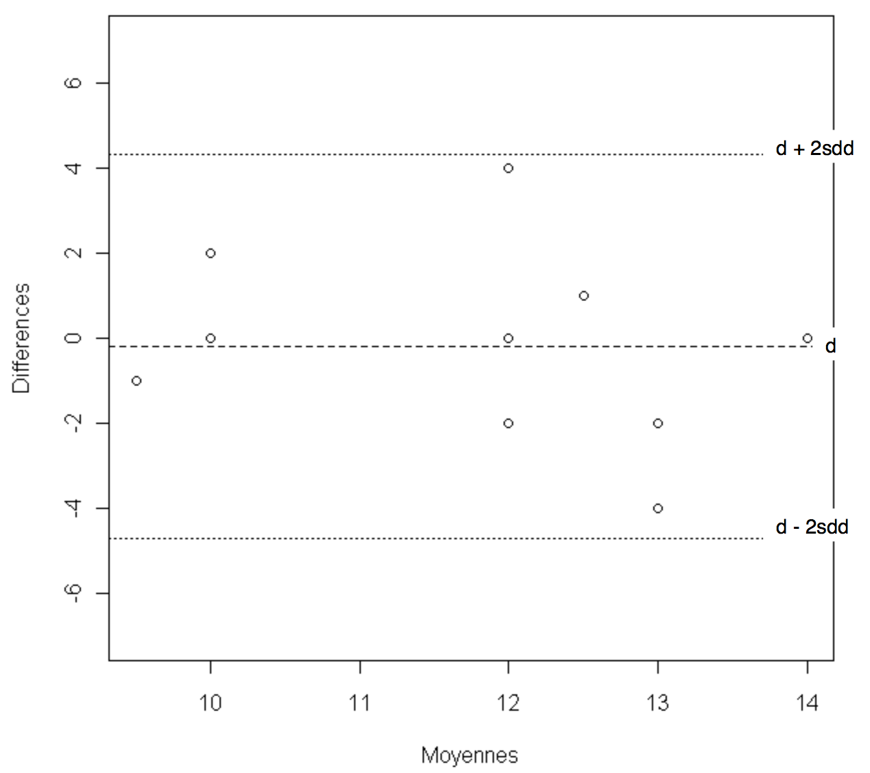
F. Diagramme de Bland – Altman
Ce diagramme permet d’évaluer la concordance entre 2 instruments qui mesurent une même variable quantitative.
Ex : 2 glucomètres
Diagramme de Bland Altman
- Construction :
- Abscisse : valeur moyenne entre les 2 instruments pour chaque sujet.
- Ordonnée : différence entre les 2 mesures pour chaque sujet.
- Limites d’agrément (limits of agreement)
- Calcul d : différence moyenne
- Calcul sdd : écart-type des différences
- Calcul limite inférieur et supérieur (intervalle de confiance à 95%) : d ± 2sdd
- Interprétation :
- d : moyenne des différences. Il nous indique si un instrument tend à donner des mesures systématiquement trop basses ou trop élevées. Il peut être considéré comme la mesure du biais entre les 2 instruments.
- Limites d’agrément : 95% de nos différences de mesure se situeront entre d ± 2 sdd. On ne peut pas faire de test statistique sur un graphique de Bland-Altman, il faut donc se demander quelle différence de mesure entre les 2 instruments est considérée comme acceptable ?
- Intérêt :
- Donne la dispersion des variables pour l’ensemble du spectre des moyennes.
- Donne le biais : différence moyenne entre les mesures par les 2 tests.
- Permet de repérer si le test est plus performant pour une valeur particulière.
- Pas de gold standard.
- Limite :
- Pas de test statistique, p non calculable.
- Il faut fixer quelle différence de mesure entre les 2 instruments paraît acceptable.
- Pourquoi ne peut-on pas utiliser le coefficient de corrélation de Pearson pour établir la concordance entre 2 instruments ?
- On ne veut pas uniquement savoir si ces valeurs sont corrélées, on veut aussi savoir si les mesures sont identiques.
- Bland-Altman indique la différence systématique entre les 2 mesures (d).
Dans cet exemple issu du CRCHUM, la corrélation entre les 2 instruments est très bonne (0,9) mais le graphique de Bland-Altman nous indique que la concordance entre les instruments de gauche est mauvaise avec d = 2 alors que la concordance avec les instruments de droite est bonne avec d = 0.
Ainsi pour une valeur du coefficient de Pearson identique, on obtiendra une concordance de test différente.

G. Coefficient Kappa
Il permet d’évaluer la concordance entre 2 variables qualitatives ayant les mêmes modalités. Il permet de déterminer si la variation des mesures est due au hasard ou pas.
- Calcul :
- Kappa = (concordance observée – concordance due au hasard)/(1 – concordance due au hasard)
- Interprétation :
- Kappa n’est pas un test statistique. Il fournit un indicateur numérique de ce que l’on cherche à mesurer mais son interprétation reste subjective. On peut s’aider du tableau suivant :
| κ |
concordance |
| 1,00 – 0,81 |
Excellente |
| 0,80 – 0,61 |
Satisfaisante |
| 0,60 – 0,41 |
Moyenne |
| 0,40 – 0,21 |
Faible |
| 0,20 – 0,00 |
Très faible |
| < 0 |
Grand désaccord |
- Intervalle :
- Compris entre – 1 et 1
- < 0 : désaccord total
- 0 : aucune concordance
- 1 : concordance parfaite
- Bien que ces valeurs soient arbitraires, on estime qu’il doit être > 0,8 dans les études médicales.
H. Sensibilité, spécificité, VPP, VPN, RV, courbe ROC
Ces mesures permettent d’évaluer la concordance entre 2 variables qualitatives binaires.
En pratique, on les retrouve dans les études diagnostiques.
La performance peut se décomposer en 2 catégories :
- Performance intrinsèque :
- Définition : c’est la capacité informative propre du test, ne dépendant pas de la prévalence de la maladie.
- On l’estime grâce à la sensibilité (Sn), la spécificité (Sp), le rapport de vraisemblance positif (RVP) et négatif (RVN).
- Performance extrinsèque :
- Définition : c’est la capacité informative du test en fonction de ses caractéristiques intrinsèque et un contexte d’utilisation (la prévalence = probabilité pré-test).
- On l’estime grâce à la valeur prédictive positive (VPP) et négative (VPN), c’est la probabilité post-test.
On va déterminer si notre test a de bonne capacité discriminante M-/M+. Ces indicateurs sont assez théoriques car on ne prend pas en compte le contexte (la prévalence).
C’est un tableau à double entrée permettant d’estimer la dépendance entre 2 caractères. Ici, on choisit comme variable le statut malade (M+ ou M-) et le résultat du test (T+ ou T-).
Ce tableau nous permet de déterminer 4 catégories de sujets :
- VP : Vrai Positif. Sujet malade ayant le test positif.
- FN : Faux Négatif. Sujet malade ayant le test négatif.
- FP : Faux Positif. Sujet sain ayant le test négatif.
- VN : Vrai Négatif. Sujet sain ayant le test négatif.
Pour qu’un test diagnostique soit de bonne qualité, il faut obtenir des VP et VN élevées et des FP et FP faibles. On va pouvoir étudier la relation entre ces 4 catégories grâce au calcul de différents paramètres.
1. Sensibilité et spécificité
- Sensibilité :
- Définition :
- Capacité d’un diagnostic ou d’un test de dépistage à identifier correctement des individus affectés par une maladie ou par un problème de santé.
- La sensibilité d’un test correspond à la probabilité que le test soit positif chez les personnes malades = p (T+/M+)
- Calcul :
- Spécificité
- Définition :
- Capacité d’un diagnostic ou d’un test de dépistage à identifier correctement les individus non-affectés par une maladie ou par un problème de santé.
- La spécificité d’un test correspond à la probabilité que le test sera négatif parmi les personnes non-malades = p (T-/M-)
- Calcul :

Exercice Prescrire : B.A.-BA n°3 : « Sensibilité, spécificité »
2. Courbe ROC
Définition : un outil graphique permettant de représenter la capacité d’un test à discriminer entre la population des malades et des non-malades.
En anglais : ROC (Receiving Operating Curve)
- Objectifs :
- Evaluer la performance globale d’un test diagnostic (à variable de réponse quantitative continue).
- Comparer 2 tests diagnostiques.
- Définir le seuil de validité optimal d’un test diagnostique.
- Construction de la courbe :
- Ordonnée : taux de Vrai Positif = Se = P (T+/M+)
- Abscisse : taux de Faux Positif = 1 – Sp = P (T+/M-)
- Ces taux varient en fonction du seuil du test (seuil qui détermine si le test est positif ou négative, par ex : valeur seuil du dosage du BNP).
- Dans l’illustration ci-dessous, la courbe bleue correspond à la distribution de la variable quantitative dans un groupe (par ex : le taux de BNP chez des sujets sains) et la courbe rouge correspond à celle dans un autre groupe (par ex : le taux de BNP chez des sujets ayant une insuffisance cardiaque)

- Interprétation :
- Pour évaluer la performance d’1 test :
- On calcule l’aire sous la courbe : AUC (Area Under Curve)
- Valeur comprise entre 0,5 et 1
- 1 : test parfait
- 0,5 : test inutile
- En pratique, le test est valable si AUC > 0.7
- Pour comparer la performance de 2 tests :
- On va comparer les 2 courbes et faire un test statistique pour déterminer s’il existe une différence.
- Définir le seuil de validité optimal d’un test.
- Il correspond au point d’inflexion de la courbe (le plus en haut à gauche). Pour une valeur donnée, la Se et la Sp seront optimales.
- En pratique, on le choisit en fonction de l’objectif du test :
- Dépistage : Se ~ 100% avec meilleur Sp possible. On choisit un point à droite
- Diagnostic : Sp ~ 100% avec meilleur Sn possible. On choisit un point à gauche.
- Plus le résultat du test est différent entre les 2 groupes, plus la courbe ROC aura un AUC élevé, plus le test sera discriminant. Dans l’illustration ci-dessous, on fait varier le résultat du test dans les 2 groupes et on voit une modification de la courbe ROC. Par ex : le test sera plus discriminant si le taux de BNP est de 100 chez les non malades et de 10 000 chez les malades, plutôt que 500 chez les malades et 550 chez les non-malades.

3. Rapport de vraisemblance
Définition : estimation du rapport entre la probabilité d’avoir un test positif (ou négatif) chez les sujets malades et celui d’avoir un test positif (ou négatif) chez les sujets sains.
Autrement dit, il correspond à la probabilité post test de la maladie par rapport à sa prévalence.
En anglais : LR , Likelihood Ratio
- Rapport de vraisemblance positif (RVP) :
- Définition : combien de fois est-il plus vraisemblable d’être malade (M+) sachant qu’on a le test positif (T+) ?
- Calcul : RVP = Se/(1-Sp)
- Rapport de vraisemblance négatif (RVN) :
- Définition : combien de fois est-il plus vraisemblable d’être sain (M-) sachant qu’on a le test négatif (T-) ?
- Calcul : RVN = (1-Se)/Sp
Nomogramme de Fagan:
- Nomogramme = outil graphique de calcul constitué de courbes graduées entre lesquelles on place une règle. Le résultat de l’opération se lit au croisement de la règle et de l’une des courbes.
- Intérêt : il permet de calculer la probabilité post-test connaissant le RV et la prévalence : p (post-test) = p (pré-test) x RV
- Interprétation : c’est un ratio qui s’interprète comme un RR.
- Avantages :
- Indépendant de la prévalence
- Cliniquement significatif pour le clinicien
| RVP |
RVN |
Apport diagnostique |
| > 10 |
< 0,1 |
Très fort |
| 5 – 10 |
0,1 – 0,2 |
Fort |
| 2 – 5 |
0,2 – 0,5 |
Modéré |
| 1 – 2 |
0,5 – 1 |
Faible |
| 1 |
1 |
nul |
Exercice Prescrire : B.A.-BA n°5 : « Rapport de vraisemblance »
4. Valeur prédictive positive et négative
- Valeur prédictive positive (VPP)
- Définition :
- Capacité du test de distinguer les personnes malades (vrais positifs) de l’ensemble des personnes dont le résultat au test est positif (vrais positifs + faux positifs).
- Probabilité qu’une personne qui a un test positif soit effectivement atteinte par la maladie ou le problème de santé = p (M+/T+).
- Calcul :
- VPP = VP / (VP+FP)
- VPP = RVP x prévalence
- Valeur prédictive négative (VPN)
- Définition :
- Capacité d’un test à distinguer les personnes saines (vrais négatifs) de l’ensemble des personnes dont le résultat au test est négatif (vrais négatifs + faux négatifs).
- Probabilité qu’une personne au test négatif ne soit pas atteinte par la maladie ou par le problème de santé = p (M-/T-).
- Calcul :
- VPN = VN / (VN+FN)
- VPN = RVN x prévalence
Exercice Prescrire : B.A.-BA n°3 : « Sensibilité, spécificité »
{1093634:7VTQEQU2};{1093634:2WG46AB8};{1093634:UM3AGQZ3};{1093634:UM3AGQZ3}
vancouver
default
asc
0
915
%7B%22status%22%3A%22success%22%2C%22updateneeded%22%3Afalse%2C%22instance%22%3Afalse%2C%22meta%22%3A%7B%22request_last%22%3A950%2C%22request_next%22%3A50%2C%22used_cache%22%3Atrue%7D%2C%22data%22%3A%5B%7B%22key%22%3A%22WSNAV6FU%22%2C%22library%22%3A%7B%22id%22%3A1093634%7D%2C%22meta%22%3A%7B%7D%2C%22bib%22%3A%22%26lt%3Bdiv%20class%3D%26quot%3Bcsl-bib-body%26quot%3B%20style%3D%26quot%3Bline-height%3A%201.35%3B%20%26quot%3B%26gt%3B%5Cn%20%20%26lt%3Bdiv%20class%3D%26quot%3Bcsl-entry%26quot%3B%20style%3D%26quot%3Bclear%3A%20left%3B%20%26quot%3B%26gt%3B%5Cn%20%20%20%20%26lt%3Bdiv%20class%3D%26quot%3Bcsl-left-margin%26quot%3B%20style%3D%26quot%3Bfloat%3A%20left%3B%20padding-right%3A%200.5em%3B%20text-align%3A%20right%3B%20width%3A%201em%3B%26quot%3B%26gt%3B1.%26lt%3B%5C%2Fdiv%26gt%3B%26lt%3Bdiv%20class%3D%26quot%3Bcsl-right-inline%26quot%3B%20style%3D%26quot%3Bmargin%3A%200%20.4em%200%201.5em%3B%26quot%3B%26gt%3B3.7%26%23x2013%3B.%26lt%3B%5C%2Fdiv%26gt%3B%5Cn%20%20%20%26lt%3B%5C%2Fdiv%26gt%3B%5Cn%26lt%3B%5C%2Fdiv%26gt%3B%22%2C%22data%22%3A%7B%22parentItem%22%3A%22QKVFNEYA%22%2C%22itemType%22%3A%22annotation%22%2C%22annotationType%22%3A%22highlight%22%2C%22annotationText%22%3A%223.7%5Cu2013%22%2C%22annotationComment%22%3A%22%22%2C%22annotationColor%22%3A%22%23ffd400%22%2C%22annotationPageLabel%22%3A%22195%22%2C%22annotationSortIndex%22%3A%2200015%7C000074%7C00427%22%2C%22annotationPosition%22%3A%22%7B%5C%22pageIndex%5C%22%3A15%2C%5C%22rects%5C%22%3A%5B%5B56.693%2C353.948%2C75.971%2C363.403%5D%5D%7D%22%2C%22dateModified%22%3A%222025-09-24T10%3A35%3A05Z%22%7D%7D%2C%7B%22key%22%3A%225C83BXKP%22%2C%22library%22%3A%7B%22id%22%3A1093634%7D%2C%22meta%22%3A%7B%7D%2C%22bib%22%3A%22%26lt%3Bdiv%20class%3D%26quot%3Bcsl-bib-body%26quot%3B%20style%3D%26quot%3Bline-height%3A%201.35%3B%20%26quot%3B%26gt%3B%5Cn%20%20%26lt%3Bdiv%20class%3D%26quot%3Bcsl-entry%26quot%3B%20style%3D%26quot%3Bclear%3A%20left%3B%20%26quot%3B%26gt%3B%5Cn%20%20%20%20%26lt%3Bdiv%20class%3D%26quot%3Bcsl-left-margin%26quot%3B%20style%3D%26quot%3Bfloat%3A%20left%3B%20padding-right%3A%200.5em%3B%20text-align%3A%20right%3B%20width%3A%201em%3B%26quot%3B%26gt%3B1.%26lt%3B%5C%2Fdiv%26gt%3B%26lt%3Bdiv%20class%3D%26quot%3Bcsl-right-inline%26quot%3B%20style%3D%26quot%3Bmargin%3A%200%20.4em%200%201.5em%3B%26quot%3B%26gt%3B13.4%25%20of%20participants%20fell%20within%20the%20KDIGO%202012%20moderate%20risk%20CKD%2C%200.9%26%23x2013%3B5.6%25%20within%20the%20high-risk%20group%20and%200.3%26%23x2013%3B4.8%25%20within%20the%20very%20high-risk%20group.%26lt%3B%5C%2Fdiv%26gt%3B%5Cn%20%20%20%26lt%3B%5C%2Fdiv%26gt%3B%5Cn%26lt%3B%5C%2Fdiv%26gt%3B%22%2C%22data%22%3A%7B%22parentItem%22%3A%22QKVFNEYA%22%2C%22itemType%22%3A%22annotation%22%2C%22annotationType%22%3A%22highlight%22%2C%22annotationText%22%3A%2213.4%25%20of%20participants%20fell%20within%20the%20KDIGO%202012%20moderate%20risk%20CKD%2C%200.9%5Cu20135.6%25%20within%20the%20high-risk%20group%20and%200.3%5Cu20134.8%25%20within%20the%20very%20high-risk%20group.%22%2C%22annotationComment%22%3A%22%22%2C%22annotationColor%22%3A%22%23ffd400%22%2C%22annotationPageLabel%22%3A%22195%22%2C%22annotationSortIndex%22%3A%2200015%7C000077%7C00427%22%2C%22annotationPosition%22%3A%22%7B%5C%22pageIndex%5C%22%3A15%2C%5C%22rects%5C%22%3A%5B%5B75.971%2C353.948%2C279.191%2C363.403%5D%2C%5B56.693%2C341.476%2C279.156%2C350.93%5D%2C%5B56.693%2C329.004%2C279.183%2C338.458%5D%2C%5B56.693%2C316.588%2C135.176%2C326.043%5D%5D%7D%22%2C%22dateModified%22%3A%222025-09-24T10%3A34%3A53Z%22%7D%7D%2C%7B%22key%22%3A%22U7VZZSRR%22%2C%22library%22%3A%7B%22id%22%3A1093634%7D%2C%22meta%22%3A%7B%7D%2C%22bib%22%3A%22%26lt%3Bdiv%20class%3D%26quot%3Bcsl-bib-body%26quot%3B%20style%3D%26quot%3Bline-height%3A%201.35%3B%20%26quot%3B%26gt%3B%5Cn%20%20%26lt%3Bdiv%20class%3D%26quot%3Bcsl-entry%26quot%3B%20style%3D%26quot%3Bclear%3A%20left%3B%20%26quot%3B%26gt%3B%5Cn%20%20%20%20%26lt%3Bdiv%20class%3D%26quot%3Bcsl-left-margin%26quot%3B%20style%3D%26quot%3Bfloat%3A%20left%3B%20padding-right%3A%200.5em%3B%20text-align%3A%20right%3B%20width%3A%201em%3B%26quot%3B%26gt%3B1.%26lt%3B%5C%2Fdiv%26gt%3B%26lt%3Bdiv%20class%3D%26quot%3Bcsl-right-inline%26quot%3B%20style%3D%26quot%3Bmargin%3A%200%20.4em%200%201.5em%3B%26quot%3B%26gt%3BOrlandi%20PF%2C%20Huang%20J%2C%20Fukagawa%20M%2C%20et%20al.%20A%20collaborative%2C%20individual-level%20analysis%20compared%20longitudinal%20outcomes%20across%20the%20International%20Network%20of%20Chronic%20Kidney%20Disease%20%28iNETCKD%29%20cohorts.%20Kidney%20Int.%202019%3B96%3A1217%26%23x2013%3B33.%26lt%3B%5C%2Fdiv%26gt%3B%5Cn%20%20%20%26lt%3B%5C%2Fdiv%26gt%3B%5Cn%26lt%3B%5C%2Fdiv%26gt%3B%22%2C%22data%22%3A%7B%22parentItem%22%3A%22QKVFNEYA%22%2C%22itemType%22%3A%22annotation%22%2C%22annotationType%22%3A%22highlight%22%2C%22annotationText%22%3A%22Orlandi%20PF%2C%20Huang%20J%2C%20Fukagawa%20M%2C%20et%20al.%20A%20collaborative%2C%20individual-level%20analysis%20compared%20longitudinal%20outcomes%20across%20the%20International%20Network%20of%20Chronic%20Kidney%20Disease%20%28iNETCKD%29%20cohorts.%20Kidney%20Int.%202019%3B96%3A1217%5Cu201333.%22%2C%22annotationComment%22%3A%22%22%2C%22annotationColor%22%3A%22%23ffd400%22%2C%22annotationPageLabel%22%3A%22199%22%2C%22annotationSortIndex%22%3A%2200019%7C002709%7C00297%22%2C%22annotationPosition%22%3A%22%7B%5C%22pageIndex%5C%22%3A19%2C%5C%22rects%5C%22%3A%5B%5B321.164%2C505.678%2C524.375%2C513.714%5D%2C%5B321.164%2C495.7%2C524.355%2C503.736%5D%2C%5B321.164%2C485.722%2C524.398%2C493.758%5D%2C%5B321.164%2C475.8%2C524.377%2C483.837%5D%2C%5B321.164%2C465.822%2C407.924%2C473.859%5D%5D%7D%22%2C%22dateModified%22%3A%222025-09-24T10%3A31%3A31Z%22%7D%7D%2C%7B%22key%22%3A%22QHKDBIRN%22%2C%22library%22%3A%7B%22id%22%3A1093634%7D%2C%22meta%22%3A%7B%7D%2C%22bib%22%3A%22%26lt%3Bdiv%20class%3D%26quot%3Bcsl-bib-body%26quot%3B%20style%3D%26quot%3Bline-height%3A%201.35%3B%20%26quot%3B%26gt%3B%5Cn%20%20%26lt%3Bdiv%20class%3D%26quot%3Bcsl-entry%26quot%3B%20style%3D%26quot%3Bclear%3A%20left%3B%20%26quot%3B%26gt%3B%5Cn%20%20%20%20%26lt%3Bdiv%20class%3D%26quot%3Bcsl-left-margin%26quot%3B%20style%3D%26quot%3Bfloat%3A%20left%3B%20padding-right%3A%200.5em%3B%20text-align%3A%20right%3B%20width%3A%201em%3B%26quot%3B%26gt%3B1.%26lt%3B%5C%2Fdiv%26gt%3B%26lt%3Bdiv%20class%3D%26quot%3Bcsl-right-inline%26quot%3B%20style%3D%26quot%3Bmargin%3A%200%20.4em%200%201.5em%3B%26quot%3B%26gt%3BFig.%203%20Prevalence%20of%20each%20KDIGO%202012%20category%20in%20general%20population%20samples.%26lt%3B%5C%2Fdiv%26gt%3B%5Cn%20%20%20%26lt%3B%5C%2Fdiv%26gt%3B%5Cn%26lt%3B%5C%2Fdiv%26gt%3B%22%2C%22data%22%3A%7B%22parentItem%22%3A%22QKVFNEYA%22%2C%22itemType%22%3A%22annotation%22%2C%22annotationType%22%3A%22highlight%22%2C%22annotationText%22%3A%22Fig.%203%20Prevalence%20of%20each%20KDIGO%202012%20category%20in%20general%20population%20samples%22%2C%22annotationComment%22%3A%22%22%2C%22annotationColor%22%3A%22%23ffd400%22%2C%22annotationPageLabel%22%3A%22194%22%2C%22annotationSortIndex%22%3A%2200014%7C000261%7C00521%22%2C%22annotationPosition%22%3A%22%7B%5C%22pageIndex%5C%22%3A14%2C%5C%22rects%5C%22%3A%5B%5B70.866%2C259.785%2C293.345%2C269.349%5D%2C%5B70.866%2C247.823%2C179.366%2C257.387%5D%5D%7D%22%2C%22dateModified%22%3A%222025-09-24T10%3A27%3A27Z%22%7D%7D%2C%7B%22key%22%3A%223AV944QR%22%2C%22library%22%3A%7B%22id%22%3A1093634%7D%2C%22meta%22%3A%7B%7D%2C%22bib%22%3A%22%26lt%3Bdiv%20class%3D%26quot%3Bcsl-bib-body%26quot%3B%20style%3D%26quot%3Bline-height%3A%201.35%3B%20%26quot%3B%26gt%3B%5Cn%20%20%26lt%3Bdiv%20class%3D%26quot%3Bcsl-entry%26quot%3B%20style%3D%26quot%3Bclear%3A%20left%3B%20%26quot%3B%26gt%3B%5Cn%20%20%20%20%26lt%3Bdiv%20class%3D%26quot%3Bcsl-left-margin%26quot%3B%20style%3D%26quot%3Bfloat%3A%20left%3B%20padding-right%3A%200.5em%3B%20text-align%3A%20right%3B%20width%3A%201em%3B%26quot%3B%26gt%3B1.%26lt%3B%5C%2Fdiv%26gt%3B%26lt%3Bdiv%20class%3D%26quot%3Bcsl-right-inline%26quot%3B%20style%3D%26quot%3Bmargin%3A%200%20.4em%200%201.5em%3B%26quot%3B%26gt%3BApplying%20KDIGO%20criteria%2C%20450%20%2850%25%29%20were%20defined%20as%20moderate%20risk%2C%2086%20%2810%25%29%20high%20risk%20and%2069%20%288%25%29%20very%20high%20risk.%2033%25%20did%20not%20have%20a%20uACR%20recorded%20to%20determine%20risk.%26lt%3B%5C%2Fdiv%26gt%3B%5Cn%20%20%20%26lt%3B%5C%2Fdiv%26gt%3B%5Cn%26lt%3B%5C%2Fdiv%26gt%3B%22%2C%22data%22%3A%7B%22parentItem%22%3A%22H2WVC68V%22%2C%22itemType%22%3A%22annotation%22%2C%22annotationType%22%3A%22highlight%22%2C%22annotationText%22%3A%22Applying%20KDIGO%20criteria%2C%20450%20%2850%25%29%20were%20defined%20as%20moderate%20risk%2C%2086%20%2810%25%29%20high%20risk%20and%2069%20%288%25%29%20very%20high%20risk.%2033%25%20did%20not%20have%20a%20uACR%20recorded%20to%20determine%20risk%22%2C%22annotationComment%22%3A%22%22%2C%22annotationColor%22%3A%22%23ffd400%22%2C%22annotationPageLabel%22%3A%221%22%2C%22annotationSortIndex%22%3A%2200000%7C001848%7C00568%22%2C%22annotationPosition%22%3A%22%7B%5C%22pageIndex%5C%22%3A0%2C%5C%22rects%5C%22%3A%5B%5B172.002%2C262.917%2C522.923%2C273.894%5D%2C%5B72.024%2C248.757%2C473.79%2C259.734%5D%5D%7D%22%2C%22dateModified%22%3A%222025-09-24T09%3A38%3A05Z%22%7D%7D%2C%7B%22key%22%3A%22SV3FU3SI%22%2C%22library%22%3A%7B%22id%22%3A1093634%7D%2C%22meta%22%3A%7B%7D%2C%22bib%22%3A%22%26lt%3Bdiv%20class%3D%26quot%3Bcsl-bib-body%26quot%3B%20style%3D%26quot%3Bline-height%3A%201.35%3B%20%26quot%3B%26gt%3B%5Cn%20%20%26lt%3Bdiv%20class%3D%26quot%3Bcsl-entry%26quot%3B%20style%3D%26quot%3Bclear%3A%20left%3B%20%26quot%3B%26gt%3B%5Cn%20%20%20%20%26lt%3Bdiv%20class%3D%26quot%3Bcsl-left-margin%26quot%3B%20style%3D%26quot%3Bfloat%3A%20left%3B%20padding-right%3A%200.5em%3B%20text-align%3A%20right%3B%20width%3A%201em%3B%26quot%3B%26gt%3B1.%26lt%3B%5C%2Fdiv%26gt%3B%26lt%3Bdiv%20class%3D%26quot%3Bcsl-right-inline%26quot%3B%20style%3D%26quot%3Bmargin%3A%200%20.4em%200%201.5em%3B%26quot%3B%26gt%3B905%20patients%20met%20the%20inclusion%20criteria%20%286%25%20of%20the%20population%29.%26lt%3B%5C%2Fdiv%26gt%3B%5Cn%20%20%20%26lt%3B%5C%2Fdiv%26gt%3B%5Cn%26lt%3B%5C%2Fdiv%26gt%3B%22%2C%22data%22%3A%7B%22parentItem%22%3A%22H2WVC68V%22%2C%22itemType%22%3A%22annotation%22%2C%22annotationType%22%3A%22highlight%22%2C%22annotationText%22%3A%22905%20patients%20met%20the%20inclusion%20criteria%20%286%25%20of%20the%20population%29%22%2C%22annotationComment%22%3A%22%22%2C%22annotationColor%22%3A%22%23ffd400%22%2C%22annotationPageLabel%22%3A%221%22%2C%22annotationSortIndex%22%3A%2200000%7C001748%7C00553%22%2C%22annotationPosition%22%3A%22%7B%5C%22pageIndex%5C%22%3A0%2C%5C%22rects%5C%22%3A%5B%5B111.74%2C277.197%2C388.767%2C288.174%5D%5D%7D%22%2C%22dateModified%22%3A%222025-09-24T09%3A35%3A55Z%22%7D%7D%2C%7B%22key%22%3A%22A5AQC9BH%22%2C%22library%22%3A%7B%22id%22%3A1093634%7D%2C%22meta%22%3A%7B%7D%2C%22bib%22%3A%22%26lt%3Bdiv%20class%3D%26quot%3Bcsl-bib-body%26quot%3B%20style%3D%26quot%3Bline-height%3A%201.35%3B%20%26quot%3B%26gt%3B%5Cn%20%20%26lt%3Bdiv%20class%3D%26quot%3Bcsl-entry%26quot%3B%20style%3D%26quot%3Bclear%3A%20left%3B%20%26quot%3B%26gt%3B%5Cn%20%20%20%20%26lt%3Bdiv%20class%3D%26quot%3Bcsl-left-margin%26quot%3B%20style%3D%26quot%3Bfloat%3A%20left%3B%20padding-right%3A%200.5em%3B%20text-align%3A%20right%3B%20width%3A%201em%3B%26quot%3B%26gt%3B1.%26lt%3B%5C%2Fdiv%26gt%3B%26lt%3Bdiv%20class%3D%26quot%3Bcsl-right-inline%26quot%3B%20style%3D%26quot%3Bmargin%3A%200%20.4em%200%201.5em%3B%26quot%3B%26gt%3B14%2C525%20patients.%26lt%3B%5C%2Fdiv%26gt%3B%5Cn%20%20%20%26lt%3B%5C%2Fdiv%26gt%3B%5Cn%26lt%3B%5C%2Fdiv%26gt%3B%22%2C%22data%22%3A%7B%22parentItem%22%3A%22H2WVC68V%22%2C%22itemType%22%3A%22annotation%22%2C%22annotationType%22%3A%22highlight%22%2C%22annotationText%22%3A%2214%2C525%20patients%22%2C%22annotationComment%22%3A%22%22%2C%22annotationColor%22%3A%22%23ffd400%22%2C%22annotationPageLabel%22%3A%221%22%2C%22annotationSortIndex%22%3A%2200000%7C001386%7C00476%22%2C%22annotationPosition%22%3A%22%7B%5C%22pageIndex%5C%22%3A0%2C%5C%22rects%5C%22%3A%5B%5B197.261%2C354.237%2C268.286%2C365.214%5D%5D%7D%22%2C%22dateModified%22%3A%222025-09-24T09%3A35%3A44Z%22%7D%7D%2C%7B%22key%22%3A%2289KGJRJM%22%2C%22library%22%3A%7B%22id%22%3A1093634%7D%2C%22meta%22%3A%7B%7D%2C%22bib%22%3A%22%26lt%3Bdiv%20class%3D%26quot%3Bcsl-bib-body%26quot%3B%20style%3D%26quot%3Bline-height%3A%201.35%3B%20%26quot%3B%26gt%3B%5Cn%20%20%26lt%3Bdiv%20class%3D%26quot%3Bcsl-entry%26quot%3B%20style%3D%26quot%3Bclear%3A%20left%3B%20%26quot%3B%26gt%3B%5Cn%20%20%20%20%26lt%3Bdiv%20class%3D%26quot%3Bcsl-left-margin%26quot%3B%20style%3D%26quot%3Bfloat%3A%20left%3B%20padding-right%3A%200.5em%3B%20text-align%3A%20right%3B%20width%3A%201em%3B%26quot%3B%26gt%3B1.%26lt%3B%5C%2Fdiv%26gt%3B%26lt%3Bdiv%20class%3D%26quot%3Bcsl-right-inline%26quot%3B%20style%3D%26quot%3Bmargin%3A%200%20.4em%200%201.5em%3B%26quot%3B%26gt%3BPrimary%20Care%20software%20to%20extract%20data.%26lt%3B%5C%2Fdiv%26gt%3B%5Cn%20%20%20%26lt%3B%5C%2Fdiv%26gt%3B%5Cn%26lt%3B%5C%2Fdiv%26gt%3B%22%2C%22data%22%3A%7B%22parentItem%22%3A%22H2WVC68V%22%2C%22itemType%22%3A%22annotation%22%2C%22annotationType%22%3A%22highlight%22%2C%22annotationText%22%3A%22Primary%20Care%20software%20to%20extract%20data%22%2C%22annotationComment%22%3A%22%22%2C%22annotationColor%22%3A%22%23ffd400%22%2C%22annotationPageLabel%22%3A%221%22%2C%22annotationSortIndex%22%3A%2200000%7C001299%7C00462%22%2C%22annotationPosition%22%3A%22%7B%5C%22pageIndex%5C%22%3A0%2C%5C%22rects%5C%22%3A%5B%5B184.692%2C368.517%2C362.906%2C379.494%5D%5D%7D%22%2C%22dateModified%22%3A%222025-09-24T09%3A35%3A40Z%22%7D%7D%2C%7B%22key%22%3A%22DBQ2BIYD%22%2C%22library%22%3A%7B%22id%22%3A1093634%7D%2C%22meta%22%3A%7B%7D%2C%22bib%22%3A%22%26lt%3Bdiv%20class%3D%26quot%3Bcsl-bib-body%26quot%3B%20style%3D%26quot%3Bline-height%3A%201.35%3B%20%26quot%3B%26gt%3B%5Cn%20%20%26lt%3Bdiv%20class%3D%26quot%3Bcsl-entry%26quot%3B%20style%3D%26quot%3Bclear%3A%20left%3B%20%26quot%3B%26gt%3B%5Cn%20%20%20%20%26lt%3Bdiv%20class%3D%26quot%3Bcsl-left-margin%26quot%3B%20style%3D%26quot%3Bfloat%3A%20left%3B%20padding-right%3A%200.5em%3B%20text-align%3A%20right%3B%20width%3A%201em%3B%26quot%3B%26gt%3B1.%26lt%3B%5C%2Fdiv%26gt%3B%26lt%3Bdiv%20class%3D%26quot%3Bcsl-right-inline%26quot%3B%20style%3D%26quot%3Bmargin%3A%200%20.4em%200%201.5em%3B%26quot%3B%26gt%3BIntroducing%20a%20Cardiovascular%20Renal%20Metabolic%20Service%20to%20Optimise%20the%26%23xA0%3B%20Management%20of%20Chronic%20Kidney%20Disease%20in%20Primary%20Care.%20An%20Interface%26%23xA0%3B%20Project.%26lt%3B%5C%2Fdiv%26gt%3B%5Cn%20%20%20%26lt%3B%5C%2Fdiv%26gt%3B%5Cn%26lt%3B%5C%2Fdiv%26gt%3B%22%2C%22data%22%3A%7B%22parentItem%22%3A%22H2WVC68V%22%2C%22itemType%22%3A%22annotation%22%2C%22annotationType%22%3A%22highlight%22%2C%22annotationText%22%3A%22Introducing%20a%20Cardiovascular%20Renal%20Metabolic%20Service%20to%20Optimise%20the%20%20Management%20of%20Chronic%20Kidney%20Disease%20in%20Primary%20Care.%20An%20Interface%20%20Project.%22%2C%22annotationComment%22%3A%22%22%2C%22annotationColor%22%3A%22%23ffd400%22%2C%22annotationPageLabel%22%3A%221%22%2C%22annotationSortIndex%22%3A%2200000%7C000236%7C00133%22%2C%22annotationPosition%22%3A%22%7B%5C%22pageIndex%5C%22%3A0%2C%5C%22rects%5C%22%3A%5B%5B72.024%2C693.221%2C524.295%2C708.694%5D%2C%5B72.024%2C669.701%2C524.112%2C685.174%5D%2C%5B72.024%2C646.301%2C118.412%2C661.774%5D%5D%7D%22%2C%22dateModified%22%3A%222025-09-24T09%3A33%3A48Z%22%7D%7D%2C%7B%22key%22%3A%225JGW36MF%22%2C%22library%22%3A%7B%22id%22%3A1093634%7D%2C%22meta%22%3A%7B%22creatorSummary%22%3A%22Linden%20et%20al.%22%2C%22parsedDate%22%3A%222025-04-09%22%2C%22numChildren%22%3A1%7D%2C%22bib%22%3A%22%26lt%3Bdiv%20class%3D%26quot%3Bcsl-bib-body%26quot%3B%20style%3D%26quot%3Bline-height%3A%201.35%3B%20%26quot%3B%26gt%3B%5Cn%20%20%26lt%3Bdiv%20class%3D%26quot%3Bcsl-entry%26quot%3B%20style%3D%26quot%3Bclear%3A%20left%3B%20%26quot%3B%26gt%3B%5Cn%20%20%20%20%26lt%3Bdiv%20class%3D%26quot%3Bcsl-left-margin%26quot%3B%20style%3D%26quot%3Bfloat%3A%20left%3B%20padding-right%3A%200.5em%3B%20text-align%3A%20right%3B%20width%3A%201em%3B%26quot%3B%26gt%3B1.%26lt%3B%5C%2Fdiv%26gt%3B%26lt%3Bdiv%20class%3D%26quot%3Bcsl-right-inline%26quot%3B%20style%3D%26quot%3Bmargin%3A%200%20.4em%200%201.5em%3B%26quot%3B%26gt%3BLinden%20P%2C%20Leonard%20N%2C%20Conlan%20J.%20Introducing%20a%20Cardiovascular%20Renal%20Metabolic%20Service%20to%20Optimise%20the%20Management%20of%20Chronic%20Kidney%20Disease%20in%20Primary%20Care.%20An%20Interface%20Project.%20%7C%20International%20Journal%20of%20Integrated%20Care.%202025%20Apr%209%20%5Bcited%202025%20Sept%2024%5D%3B%20Available%20from%3A%20%26lt%3Ba%20class%3D%26%23039%3Bzp-ItemURL%26%23039%3B%20href%3D%26%23039%3Bhttps%3A%5C%2F%5C%2Fijic.org%5C%2Farticles%5C%2F10.5334%5C%2Fijic.ICIC24496%26%23039%3B%26gt%3Bhttps%3A%5C%2F%5C%2Fijic.org%5C%2Farticles%5C%2F10.5334%5C%2Fijic.ICIC24496%26lt%3B%5C%2Fa%26gt%3B%26lt%3B%5C%2Fdiv%26gt%3B%5Cn%20%20%26lt%3B%5C%2Fdiv%26gt%3B%5Cn%26lt%3B%5C%2Fdiv%26gt%3B%22%2C%22data%22%3A%7B%22itemType%22%3A%22journalArticle%22%2C%22title%22%3A%22Introducing%20a%20Cardiovascular%20Renal%20Metabolic%20Service%20to%20Optimise%20the%20Management%20of%20Chronic%20Kidney%20Disease%20in%20Primary%20Care.%20An%20Interface%20Project.%20%7C%20International%20Journal%20of%20Integrated%20Care%22%2C%22creators%22%3A%5B%7B%22creatorType%22%3A%22author%22%2C%22firstName%22%3A%22Patrick%22%2C%22lastName%22%3A%22Linden%22%7D%2C%7B%22creatorType%22%3A%22author%22%2C%22firstName%22%3A%22Niall%22%2C%22lastName%22%3A%22Leonard%22%7D%2C%7B%22creatorType%22%3A%22author%22%2C%22firstName%22%3A%22John%22%2C%22lastName%22%3A%22Conlan%22%7D%5D%2C%22abstractNote%22%3A%22Background%3A%20Approximately%206%25%20of%20the%20UK%5Cu2019s%20population%20live%20with%20chronic%20kidney%20disease%20%28CKD%29.%20Affected%20patients%20risk%20progression%20to%20end-stage%20renal%20disease%20%28ESRD%29%20and%20are%20more%20likely%20to%20develop%20cardiovascular%20disease.%20CKD%20progression%20can%20be%20reduced%20through%20blood%20pressure%20control%20and%20anti-proteinuric%20therapies%2C%20however%20identifying%20at-risk%20patients%20in%20Primary%20Care%20is%20challenging.%20Through%20interface%20of%20Primary%20and%20Secondary%20Care%20services%2C%20we%20developed%20a%20guideline%20to%20optimise%20the%20management%20of%20at-risk%20CKD%20patients.%5Cn%20Methods%3A%20The%20project%20was%20developed%20collaboratively%20between%20the%20Ulster%20Hospital%20and%20The%20Priory%20and%20Springhill%20Surgeries%20in%20County%20Down%2C%20with%20the%20support%20of%20Interface%20Clinical%20Services%20%28employed%20by%20AztraZeneca%29.%20A%20Primary%20Care%20CKD%20guideline%20was%20produced%20to%20steer%20the%20intervention.%20Framework%20was%20built%20upon%20existing%20Primary%20Care%20software%20to%20extract%20data%20and%20identify%20appropriate%20patients.%20The%20surgeries%5Cu2019%20registers%20of%2014%2C525%20patients%20were%20vetted.%20Inclusion%20criteria%20included%3B%20a%20diagnosis%20of%20CKD%2C%20moderate%20or%20severe%20proteinuria%20%28A2%20or%20A3%29%2C%20or%20evidence%20of%20an%20eGFR%20%26lt%3B60mls%5C%2Fmin%20with%20co-existent%20diabetes%20mellitus%20type%202.%20High%20risk%20patients%20were%20assigned%20to%20review%20cohorts%20and%20offered%20an%20Interface%20led%20consultation.%20Baseline%20data%20was%20collected%20on%20a%20range%20of%20metrics%20including%20blood%20pressure%2C%20eGFR%20and%20urine%20albumin%5C%2Fcreatinine%20ratio%20%28uACR%29.%5Cn%20Results%3A%20905%20patients%20met%20the%20inclusion%20criteria%20%286%25%20of%20the%20population%29%2C%20falling%20to%20877%20after%20exclusion%20criteria%20were%20applied.%20Applying%20KDIGO%20criteria%2C%20450%20%2850%25%29%20were%20defined%20as%20moderate%20risk%2C%2086%20%2810%25%29%20high%20risk%20and%2069%20%288%25%29%20very%20high%20risk.%2033%25%20did%20not%20have%20a%20uACR%20recorded%20to%20determine%20risk.%2028%25%20were%20calculated%20to%20have%20a%205-year%20ESRD%20risk%20of%20%26gt%3B5%25%20while%2065%20patients%20%287%25%29%20met%20additional%20criteria%20for%20referral%20to%20Secondary%20Care.%5Cn%20Co-morbidity%20was%20common%20with%20hypertension%20in%2038%25%2C%20cardiovascular%20diseases%20in%2031%25%20and%20heart%20failure%20in%2018%25.%20Review%20of%20baseline%20prescribing%20found%20447%20patients%20%2849%25%29%20were%20already%20prescribing%20a%20RAAS%20inhibitor%2C%20320%20with%20diabetic%20kidney%20disease%20%28DKD%29%20and%20127%20with%20non-diabetic%20CKD.%20SGLT2%20inhibitors%20were%20prescribed%20for%20135%20patients%20%2822%25%29%20with%20DKD%2C%20but%20only%2014%20patients%20%285%25%29%20with%20non-diabetic%20CKD.%5Cn%20212%20patients%20were%20assigned%20review%20cohorts.%20The%20remaining%20665%20were%20assigned%20practice%20follow-up.%20137%20%2865%25%29%20responded%20to%20correspondence%20and%20were%20offered%20a%20consultation.%2082%20patients%20%2839%25%29%20were%20reviewed%20across%206%20clinics.%2057%20patients%20%2870%25%29%20received%20a%20pharmacological%20intervention%2C%20while%20100%25%20received%20a%20non-pharmacological%20intervention.%20RAAS%20inhibitors%20were%20initiated%20or%20optimised%20in%2019%20%2823%25%29.%20SGLT2%20inhibitors%20were%20commenced%20in%2045%20%2855%25%29.%2070%25%20of%20patients%20with%20DKD%20received%20an%20evidence-based%20pharmacological%20intervention%20related%20to%20RAAS%20and%5C%2For%20SGLT2%20inhibition.%5Cn%20Conclusions%3A%20This%20work%20offers%20a%20glimpse%20into%20the%20current%20state%20of%20CKD%20management%20in%20Primary%20Care%20and%20demonstrates%20the%20potential%20of%20collaborative%20working.%20The%20population%20was%20co-morbid%2C%20highlighting%20the%20complementary%20benefits%20of%20optimising%20CKD%20management.%20The%20framework%20was%20built%20upon%20software%20already%20in%20place%20in%20Primary%20Care%20and%20our%20results%20were%20achieved%20within%204%20months%2C%20highlighting%20the%20potential%20to%20trial%20the%20intervention%20in%20other%20settings.%26nbsp%3B%5Cn%20Disclosures%3A%20The%20project%20was%20supported%20by%20the%20CKD%20Medicines%20Optimisation%20Review%20Service%2C%20a%20non-promotional%20medical%20service%20funded%20by%20AstraZeneca%20and%20delivered%20by%20a%20team%20of%20pharmacists%20employed%20by%20Interface%20Clinical%20Services%2C%20working%20on%20behalf%20of%20AstraZeneca.%22%2C%22date%22%3A%222025-04-09T00%3A00%3A00%2B00%3A00%22%2C%22section%22%3A%22%22%2C%22partNumber%22%3A%22%22%2C%22partTitle%22%3A%22%22%2C%22DOI%22%3A%2210.5334%5C%2Fijic.ICIC24496%22%2C%22citationKey%22%3A%22%22%2C%22url%22%3A%22https%3A%5C%2F%5C%2Fijic.org%5C%2Farticles%5C%2F10.5334%5C%2Fijic.ICIC24496%22%2C%22PMID%22%3A%22%22%2C%22PMCID%22%3A%22%22%2C%22ISSN%22%3A%22%22%2C%22language%22%3A%22en-US%22%2C%22collections%22%3A%5B%5D%2C%22dateModified%22%3A%222025-09-24T09%3A33%3A14Z%22%7D%7D%2C%7B%22key%22%3A%22NVMSN59U%22%2C%22library%22%3A%7B%22id%22%3A1093634%7D%2C%22meta%22%3A%7B%7D%2C%22bib%22%3A%22%26lt%3Bdiv%20class%3D%26quot%3Bcsl-bib-body%26quot%3B%20style%3D%26quot%3Bline-height%3A%201.35%3B%20%26quot%3B%26gt%3B%5Cn%20%20%26lt%3Bdiv%20class%3D%26quot%3Bcsl-entry%26quot%3B%20style%3D%26quot%3Bclear%3A%20left%3B%20%26quot%3B%26gt%3B%5Cn%20%20%20%20%26lt%3Bdiv%20class%3D%26quot%3Bcsl-left-margin%26quot%3B%20style%3D%26quot%3Bfloat%3A%20left%3B%20padding-right%3A%200.5em%3B%20text-align%3A%20right%3B%20width%3A%201em%3B%26quot%3B%26gt%3B1.%26lt%3B%5C%2Fdiv%26gt%3B%26lt%3Bdiv%20class%3D%26quot%3Bcsl-right-inline%26quot%3B%20style%3D%26quot%3Bmargin%3A%200%20.4em%200%201.5em%3B%26quot%3B%26gt%3Bpublic%20and%20private%20facilities.%26lt%3B%5C%2Fdiv%26gt%3B%5Cn%20%20%20%26lt%3B%5C%2Fdiv%26gt%3B%5Cn%26lt%3B%5C%2Fdiv%26gt%3B%22%2C%22data%22%3A%7B%22parentItem%22%3A%22X7GSK4TV%22%2C%22itemType%22%3A%22annotation%22%2C%22annotationType%22%3A%22highlight%22%2C%22annotationText%22%3A%22public%20and%20private%20facilities%22%2C%22annotationComment%22%3A%22%22%2C%22annotationColor%22%3A%22%23ffd400%22%2C%22annotationPageLabel%22%3A%221%22%2C%22annotationSortIndex%22%3A%2200000%7C003445%7C00699%22%2C%22annotationPosition%22%3A%22%7B%5C%22pageIndex%5C%22%3A0%2C%5C%22rects%5C%22%3A%5B%5B163.618%2C81.96%2C267.685%2C91.28%5D%5D%7D%22%2C%22dateModified%22%3A%222025-09-24T09%3A29%3A34Z%22%7D%7D%2C%7B%22key%22%3A%22LCD6B632%22%2C%22library%22%3A%7B%22id%22%3A1093634%7D%2C%22meta%22%3A%7B%7D%2C%22bib%22%3A%22%26lt%3Bdiv%20class%3D%26quot%3Bcsl-bib-body%26quot%3B%20style%3D%26quot%3Bline-height%3A%201.35%3B%20%26quot%3B%26gt%3B%5Cn%20%20%26lt%3Bdiv%20class%3D%26quot%3Bcsl-entry%26quot%3B%20style%3D%26quot%3Bclear%3A%20left%3B%20%26quot%3B%26gt%3B%5Cn%20%20%20%20%26lt%3Bdiv%20class%3D%26quot%3Bcsl-left-margin%26quot%3B%20style%3D%26quot%3Bfloat%3A%20left%3B%20padding-right%3A%200.5em%3B%20text-align%3A%20right%3B%20width%3A%201em%3B%26quot%3B%26gt%3B1.%26lt%3B%5C%2Fdiv%26gt%3B%26lt%3Bdiv%20class%3D%26quot%3Bcsl-right-inline%26quot%3B%20style%3D%26quot%3Bmargin%3A%200%20.4em%200%201.5em%3B%26quot%3B%26gt%3BRisk%20profile%2C%20quality%20of%20life%20and%20care%20of%20patients%20with%20moderate%26%23xA0%3B%20and%20advanced%20CKD%3A%20The%20French%20CKD-REIN%20Cohort%20Study.%26lt%3B%5C%2Fdiv%26gt%3B%5Cn%20%20%20%26lt%3B%5C%2Fdiv%26gt%3B%5Cn%26lt%3B%5C%2Fdiv%26gt%3B%22%2C%22data%22%3A%7B%22parentItem%22%3A%22X7GSK4TV%22%2C%22itemType%22%3A%22annotation%22%2C%22annotationType%22%3A%22highlight%22%2C%22annotationText%22%3A%22Risk%20profile%2C%20quality%20of%20life%20and%20care%20of%20patients%20with%20moderate%20%20and%20advanced%20CKD%3A%20The%20French%20CKD-REIN%20Cohort%20Study%22%2C%22annotationComment%22%3A%22%22%2C%22annotationColor%22%3A%22%23ffd400%22%2C%22annotationPageLabel%22%3A%221%22%2C%22annotationSortIndex%22%3A%2200000%7C001088%7C00229%22%2C%22annotationPosition%22%3A%22%7B%5C%22pageIndex%5C%22%3A0%2C%5C%22rects%5C%22%3A%5B%5B45.014%2C542.967%2C531.087%2C561.607%5D%2C%5B45.014%2C518.987%2C511.481%2C537.627%5D%5D%7D%22%2C%22dateModified%22%3A%222025-09-24T09%3A29%3A15Z%22%7D%7D%2C%7B%22key%22%3A%22HNV9NLBN%22%2C%22library%22%3A%7B%22id%22%3A1093634%7D%2C%22meta%22%3A%7B%7D%2C%22bib%22%3A%22%26lt%3Bdiv%20class%3D%26quot%3Bcsl-bib-body%26quot%3B%20style%3D%26quot%3Bline-height%3A%201.35%3B%20%26quot%3B%26gt%3B%5Cn%20%20%26lt%3Bdiv%20class%3D%26quot%3Bcsl-entry%26quot%3B%20style%3D%26quot%3Bclear%3A%20left%3B%20%26quot%3B%26gt%3B%5Cn%20%20%20%20%26lt%3Bdiv%20class%3D%26quot%3Bcsl-left-margin%26quot%3B%20style%3D%26quot%3Bfloat%3A%20left%3B%20padding-right%3A%200.5em%3B%20text-align%3A%20right%3B%20width%3A%201em%3B%26quot%3B%26gt%3B1.%26lt%3B%5C%2Fdiv%26gt%3B%26lt%3Bdiv%20class%3D%26quot%3Bcsl-right-inline%26quot%3B%20style%3D%26quot%3Bmargin%3A%200%20.4em%200%201.5em%3B%26quot%3B%26gt%3BOverall%20distribution%20according%20to%20KDIGO%202012%20risk%20groups%20showed%207.4%25%20at%20low%20or%20moderate%2C%2015.8%25%20at%20high%20and%2065.5%25%20at%20very%20high%20risk%2C%20while%2011.2%25%20were%20unclassified%20due%20to%20missing%20albuminuria%20%28Figure%201.%26lt%3B%5C%2Fdiv%26gt%3B%5Cn%20%20%20%26lt%3B%5C%2Fdiv%26gt%3B%5Cn%26lt%3B%5C%2Fdiv%26gt%3B%22%2C%22data%22%3A%7B%22parentItem%22%3A%22X7GSK4TV%22%2C%22itemType%22%3A%22annotation%22%2C%22annotationType%22%3A%22highlight%22%2C%22annotationText%22%3A%22Overall%20distribution%20according%20to%20KDIGO%202012%20risk%20groups%20showed%207.4%25%20at%20low%20or%20moderate%2C%2015.8%25%20at%20high%20and%2065.5%25%20at%20very%20high%20risk%2C%20while%2011.2%25%20were%20unclassified%20due%20to%20missing%20albuminuria%20%28Figure%201%22%2C%22annotationComment%22%3A%22%22%2C%22annotationColor%22%3A%22%23ffd400%22%2C%22annotationPageLabel%22%3A%223%22%2C%22annotationSortIndex%22%3A%2200002%7C004579%7C00617%22%2C%22annotationPosition%22%3A%22%7B%5C%22pageIndex%5C%22%3A2%2C%5C%22rects%5C%22%3A%5B%5B322.471%2C188.311%2C557.985%2C197.631%5D%2C%5B310.452%2C176.292%2C557.963%2C185.612%5D%2C%5B310.452%2C164.273%2C558.005%2C173.593%5D%2C%5B310.452%2C152.311%2C378.242%2C161.631%5D%5D%7D%22%2C%22dateModified%22%3A%222025-09-24T09%3A29%3A02Z%22%7D%7D%2C%7B%22key%22%3A%22PWNAZUB3%22%2C%22library%22%3A%7B%22id%22%3A1093634%7D%2C%22meta%22%3A%7B%7D%2C%22bib%22%3A%22%26lt%3Bdiv%20class%3D%26quot%3Bcsl-bib-body%26quot%3B%20style%3D%26quot%3Bline-height%3A%201.35%3B%20%26quot%3B%26gt%3B%5Cn%20%20%26lt%3Bdiv%20class%3D%26quot%3Bcsl-entry%26quot%3B%20style%3D%26quot%3Bclear%3A%20left%3B%20%26quot%3B%26gt%3B%5Cn%20%20%20%20%26lt%3Bdiv%20class%3D%26quot%3Bcsl-left-margin%26quot%3B%20style%3D%26quot%3Bfloat%3A%20left%3B%20padding-right%3A%200.5em%3B%20text-align%3A%20right%3B%20width%3A%201em%3B%26quot%3B%26gt%3B1.%26lt%3B%5C%2Fdiv%26gt%3B%26lt%3Bdiv%20class%3D%26quot%3Bcsl-right-inline%26quot%3B%20style%3D%26quot%3Bmargin%3A%200%20.4em%200%201.5em%3B%26quot%3B%26gt%3B23.%20Stengel%20B%2C%20Metzger%20M%2C%20Combe%20C%2C%20et%20al.%20Risk%20profile%2C%20quality%20of%20life%20and%20care%20of%20patients%20with%20moderate%20and%20advanced%20CKD%3A%20the%20French%20CKD-REIN%20Cohort%20Study.%20Nephrol%20Dial%20Transplant.%202019%3B34%3A277%26%23x2013%3B86.%26lt%3B%5C%2Fdiv%26gt%3B%5Cn%20%20%20%26lt%3B%5C%2Fdiv%26gt%3B%5Cn%26lt%3B%5C%2Fdiv%26gt%3B%22%2C%22data%22%3A%7B%22parentItem%22%3A%22QKVFNEYA%22%2C%22itemType%22%3A%22annotation%22%2C%22annotationType%22%3A%22highlight%22%2C%22annotationText%22%3A%2223.%20Stengel%20B%2C%20Metzger%20M%2C%20Combe%20C%2C%20et%20al.%20Risk%20profile%2C%20quality%20of%20life%20and%20care%20of%20patients%20with%20moderate%20and%20advanced%20CKD%3A%20the%20French%20CKD-REIN%20Cohort%20Study.%20Nephrol%20Dial%20Transplant.%202019%3B34%3A277%5Cu201386.%22%2C%22annotationComment%22%3A%22%22%2C%22annotationColor%22%3A%22%23ffd400%22%2C%22annotationPageLabel%22%3A%22198%22%2C%22annotationSortIndex%22%3A%2200018%7C003219%7C00496%22%2C%22annotationPosition%22%3A%22%7B%5C%22pageIndex%5C%22%3A18%2C%5C%22rects%5C%22%3A%5B%5B316.059%2C286.104%2C538.545%2C294.141%5D%2C%5B335.335%2C276.183%2C538.539%2C284.219%5D%2C%5B335.335%2C266.205%2C538.525%2C274.241%5D%2C%5B335.335%2C256.227%2C530.241%2C264.263%5D%5D%7D%22%2C%22dateModified%22%3A%222025-09-24T09%3A28%3A25Z%22%7D%7D%2C%7B%22key%22%3A%22N3XZWQ6Z%22%2C%22library%22%3A%7B%22id%22%3A1093634%7D%2C%22meta%22%3A%7B%7D%2C%22bib%22%3A%22%26lt%3Bdiv%20class%3D%26quot%3Bcsl-bib-body%26quot%3B%20style%3D%26quot%3Bline-height%3A%201.35%3B%20%26quot%3B%26gt%3B%5Cn%20%20%26lt%3Bdiv%20class%3D%26quot%3Bcsl-entry%26quot%3B%20style%3D%26quot%3Bclear%3A%20left%3B%20%26quot%3B%26gt%3B%5Cn%20%20%20%20%26lt%3Bdiv%20class%3D%26quot%3Bcsl-left-margin%26quot%3B%20style%3D%26quot%3Bfloat%3A%20left%3B%20padding-right%3A%200.5em%3B%20text-align%3A%20right%3B%20width%3A%201em%3B%26quot%3B%26gt%3B1.%26lt%3B%5C%2Fdiv%26gt%3B%26lt%3Bdiv%20class%3D%26quot%3Bcsl-right-inline%26quot%3B%20style%3D%26quot%3Bmargin%3A%200%20.4em%200%201.5em%3B%26quot%3B%26gt%3Bparticipants%20fell%20within%20the%20KDIGO%202012%20lowrisk%20group%2C%203.7%26%23x2013%3B13.4%25%20within%20the%20moderately%20increased%20risk%20group%2C%200.9%26%23x2013%3B5.6%25%20within%20the%20highrisk%20group%20and%200.3%26%23x2013%3B4.8%25%20within%20the%20very%20highrisk%20group.%26lt%3B%5C%2Fdiv%26gt%3B%5Cn%20%20%20%26lt%3B%5C%2Fdiv%26gt%3B%5Cn%26lt%3B%5C%2Fdiv%26gt%3B%22%2C%22data%22%3A%7B%22parentItem%22%3A%22QKVFNEYA%22%2C%22itemType%22%3A%22annotation%22%2C%22annotationType%22%3A%22highlight%22%2C%22annotationText%22%3A%22participants%20fell%20within%20the%20KDIGO%202012%20lowrisk%20group%2C%203.7%5Cu201313.4%25%20within%20the%20moderately%20increased%20risk%20group%2C%200.9%5Cu20135.6%25%20within%20the%20highrisk%20group%20and%200.3%5Cu20134.8%25%20within%20the%20very%20highrisk%20group.%22%2C%22annotationComment%22%3A%22%22%2C%22annotationColor%22%3A%22%23ffd400%22%2C%22annotationPageLabel%22%3A%22189%22%2C%22annotationSortIndex%22%3A%2200009%7C000117%7C00114%22%2C%22annotationPosition%22%3A%22%7B%5C%22pageIndex%5C%22%3A9%2C%5C%22rects%5C%22%3A%5B%5B301.89%2C703.856%2C524.325%2C713.311%5D%2C%5B301.89%2C691.384%2C524.342%2C700.838%5D%2C%5B301.89%2C678.912%2C524.348%2C688.366%5D%2C%5B301.89%2C666.496%2C524.349%2C675.951%5D%2C%5B301.89%2C654.024%2C352.182%2C663.479%5D%5D%7D%22%2C%22dateModified%22%3A%222025-09-24T09%3A27%3A10Z%22%7D%7D%2C%7B%22key%22%3A%224UVS3FK9%22%2C%22library%22%3A%7B%22id%22%3A1093634%7D%2C%22meta%22%3A%7B%7D%2C%22bib%22%3A%22%26lt%3Bdiv%20class%3D%26quot%3Bcsl-bib-body%26quot%3B%20style%3D%26quot%3Bline-height%3A%201.35%3B%20%26quot%3B%26gt%3B%5Cn%20%20%26lt%3Bdiv%20class%3D%26quot%3Bcsl-entry%26quot%3B%20style%3D%26quot%3Bclear%3A%20left%3B%20%26quot%3B%26gt%3B%5Cn%20%20%20%20%26lt%3Bdiv%20class%3D%26quot%3Bcsl-left-margin%26quot%3B%20style%3D%26quot%3Bfloat%3A%20left%3B%20padding-right%3A%200.5em%3B%20text-align%3A%20right%3B%20width%3A%201em%3B%26quot%3B%26gt%3B1.%26lt%3B%5C%2Fdiv%26gt%3B%26lt%3Bdiv%20class%3D%26quot%3Bcsl-right-inline%26quot%3B%20style%3D%26quot%3Bmargin%3A%200%20.4em%200%201.5em%3B%26quot%3B%26gt%3Bost%20fell%20within%20the%20KDIGO%202012%20low-risk%20or%20moderate-risk%20groups%2C%20with%200.9%26%23x2013%3B5.6%25%20in%20the%20high-risk%20and%200.3%26%23x2013%3B4.8%25%20in%20the%20very%20high-risk%20groups.%26lt%3B%5C%2Fdiv%26gt%3B%5Cn%20%20%20%26lt%3B%5C%2Fdiv%26gt%3B%5Cn%26lt%3B%5C%2Fdiv%26gt%3B%22%2C%22data%22%3A%7B%22parentItem%22%3A%22QKVFNEYA%22%2C%22itemType%22%3A%22annotation%22%2C%22annotationType%22%3A%22highlight%22%2C%22annotationText%22%3A%22ost%20fell%20within%20the%20KDIGO%202012%20low-risk%20or%20moderate-risk%20groups%2C%20with%200.9%5Cu20135.6%25%20in%20the%20high-risk%20and%200.3%5Cu20134.8%25%20in%20the%20very%20high-risk%20groups.%22%2C%22annotationComment%22%3A%22%22%2C%22annotationColor%22%3A%22%23ffd400%22%2C%22annotationPageLabel%22%3A%22180%22%2C%22annotationSortIndex%22%3A%2200000%7C001208%7C00536%22%2C%22annotationPosition%22%3A%22%7B%5C%22pageIndex%5C%22%3A0%2C%5C%22rects%5C%22%3A%5B%5B445.117%2C257.236%2C538.525%2C266.69%5D%2C%5B316.062%2C244.764%2C538.586%2C254.218%5D%2C%5B316.062%2C232.348%2C538.528%2C241.803%5D%2C%5B316.062%2C219.876%2C435.269%2C229.331%5D%5D%7D%22%2C%22dateModified%22%3A%222025-09-24T09%3A24%3A54Z%22%7D%7D%2C%7B%22key%22%3A%225HMBESS2%22%2C%22library%22%3A%7B%22id%22%3A1093634%7D%2C%22meta%22%3A%7B%7D%2C%22bib%22%3A%22%26lt%3Bdiv%20class%3D%26quot%3Bcsl-bib-body%26quot%3B%20style%3D%26quot%3Bline-height%3A%201.35%3B%20%26quot%3B%26gt%3B%5Cn%20%20%26lt%3Bdiv%20class%3D%26quot%3Bcsl-entry%26quot%3B%20style%3D%26quot%3Bclear%3A%20left%3B%20%26quot%3B%26gt%3B%5Cn%20%20%20%20%26lt%3Bdiv%20class%3D%26quot%3Bcsl-left-margin%26quot%3B%20style%3D%26quot%3Bfloat%3A%20left%3B%20padding-right%3A%200.5em%3B%20text-align%3A%20right%3B%20width%3A%201em%3B%26quot%3B%26gt%3B1.%26lt%3B%5C%2Fdiv%26gt%3B%26lt%3Bdiv%20class%3D%26quot%3Bcsl-right-inline%26quot%3B%20style%3D%26quot%3Bmargin%3A%200%20.4em%200%201.5em%3B%26quot%3B%26gt%3Brevalence%20of%20CKD%20%28GFR%20categories%20G3%26%23x2013%3B5%29%2C%20ranging%20from%202%25%20to%2017%25.%26lt%3B%5C%2Fdiv%26gt%3B%5Cn%20%20%20%26lt%3B%5C%2Fdiv%26gt%3B%5Cn%26lt%3B%5C%2Fdiv%26gt%3B%22%2C%22data%22%3A%7B%22parentItem%22%3A%22QKVFNEYA%22%2C%22itemType%22%3A%22annotation%22%2C%22annotationType%22%3A%22highlight%22%2C%22annotationText%22%3A%22revalence%20of%20CKD%20%28GFR%20categories%20G3%5Cu20135%29%2C%20ranging%20from%202%25%20to%2017%25%22%2C%22annotationComment%22%3A%22%22%2C%22annotationColor%22%3A%22%23ffd400%22%2C%22annotationPageLabel%22%3A%22180%22%2C%22annotationSortIndex%22%3A%2200000%7C001067%7C00486%22%2C%22annotationPosition%22%3A%22%7B%5C%22pageIndex%5C%22%3A0%2C%5C%22rects%5C%22%3A%5B%5B367.716%2C294.596%2C538.481%2C304.05%5D%2C%5B316.062%2C282.123%2C470.902%2C291.578%5D%5D%7D%22%2C%22dateModified%22%3A%222025-09-24T09%3A24%3A40Z%22%7D%7D%2C%7B%22key%22%3A%22NV9HSB6Q%22%2C%22library%22%3A%7B%22id%22%3A1093634%7D%2C%22meta%22%3A%7B%7D%2C%22bib%22%3A%22%26lt%3Bdiv%20class%3D%26quot%3Bcsl-bib-body%26quot%3B%20style%3D%26quot%3Bline-height%3A%201.35%3B%20%26quot%3B%26gt%3B%5Cn%20%20%26lt%3Bdiv%20class%3D%26quot%3Bcsl-entry%26quot%3B%20style%3D%26quot%3Bclear%3A%20left%3B%20%26quot%3B%26gt%3B%5Cn%20%20%20%20%26lt%3Bdiv%20class%3D%26quot%3Bcsl-left-margin%26quot%3B%20style%3D%26quot%3Bfloat%3A%20left%3B%20padding-right%3A%200.5em%3B%20text-align%3A%20right%3B%20width%3A%201em%3B%26quot%3B%26gt%3B1.%26lt%3B%5C%2Fdiv%26gt%3B%26lt%3Bdiv%20class%3D%26quot%3Bcsl-right-inline%26quot%3B%20style%3D%26quot%3Bmargin%3A%200%20.4em%200%201.5em%3B%26quot%3B%26gt%3BAdv%20Ther%20%282021%29.%26lt%3B%5C%2Fdiv%26gt%3B%5Cn%20%20%20%26lt%3B%5C%2Fdiv%26gt%3B%5Cn%26lt%3B%5C%2Fdiv%26gt%3B%22%2C%22data%22%3A%7B%22parentItem%22%3A%22QKVFNEYA%22%2C%22itemType%22%3A%22annotation%22%2C%22annotationType%22%3A%22highlight%22%2C%22annotationText%22%3A%22Adv%20Ther%20%282021%29%22%2C%22annotationComment%22%3A%22%22%2C%22annotationColor%22%3A%22%23ff6666%22%2C%22annotationPageLabel%22%3A%22180%22%2C%22annotationSortIndex%22%3A%2200000%7C002510%7C00042%22%2C%22annotationPosition%22%3A%22%7B%5C%22pageIndex%5C%22%3A0%2C%5C%22rects%5C%22%3A%5B%5B70.866%2C740.726%2C129.726%2C748.17%5D%5D%7D%22%2C%22dateModified%22%3A%222025-09-24T09%3A24%3A25Z%22%7D%7D%2C%7B%22key%22%3A%22MGJR4HRT%22%2C%22library%22%3A%7B%22id%22%3A1093634%7D%2C%22meta%22%3A%7B%7D%2C%22bib%22%3A%22%26lt%3Bdiv%20class%3D%26quot%3Bcsl-bib-body%26quot%3B%20style%3D%26quot%3Bline-height%3A%201.35%3B%20%26quot%3B%26gt%3B%5Cn%20%20%26lt%3Bdiv%20class%3D%26quot%3Bcsl-entry%26quot%3B%20style%3D%26quot%3Bclear%3A%20left%3B%20%26quot%3B%26gt%3B%5Cn%20%20%20%20%26lt%3Bdiv%20class%3D%26quot%3Bcsl-left-margin%26quot%3B%20style%3D%26quot%3Bfloat%3A%20left%3B%20padding-right%3A%200.5em%3B%20text-align%3A%20right%3B%20width%3A%201em%3B%26quot%3B%26gt%3B1.%26lt%3B%5C%2Fdiv%26gt%3B%26lt%3Bdiv%20class%3D%26quot%3Bcsl-right-inline%26quot%3B%20style%3D%26quot%3Bmargin%3A%200%20.4em%200%201.5em%3B%26quot%3B%26gt%3BBurden%20of%20Chronic%20Kidney%20Disease%20by%20KDIGO%20Categories%20of%20Glomerular%20Filtration%20Rate%20and%20Albuminuria%3A%20A%20Systematic%20Review.%26lt%3B%5C%2Fdiv%26gt%3B%5Cn%20%20%20%26lt%3B%5C%2Fdiv%26gt%3B%5Cn%26lt%3B%5C%2Fdiv%26gt%3B%22%2C%22data%22%3A%7B%22parentItem%22%3A%22QKVFNEYA%22%2C%22itemType%22%3A%22annotation%22%2C%22annotationType%22%3A%22highlight%22%2C%22annotationText%22%3A%22Burden%20of%20Chronic%20Kidney%20Disease%20by%20KDIGO%20Categories%20of%20Glomerular%20Filtration%20Rate%20and%20Albuminuria%3A%20A%20Systematic%20Review%22%2C%22annotationComment%22%3A%22%22%2C%22annotationColor%22%3A%22%23ffd400%22%2C%22annotationPageLabel%22%3A%22180%22%2C%22annotationSortIndex%22%3A%2200000%7C000006%7C00108%22%2C%22annotationPosition%22%3A%22%7B%5C%22pageIndex%5C%22%3A0%2C%5C%22rects%5C%22%3A%5B%5B70.866%2C667.502%2C428.321%2C682.629%5D%2C%5B70.866%2C649.586%2C387.989%2C664.714%5D%2C%5B70.866%2C631.615%2C379.54%2C646.743%5D%5D%7D%22%2C%22dateModified%22%3A%222025-09-24T09%3A24%3A21Z%22%7D%7D%2C%7B%22key%22%3A%22DU57T8ZR%22%2C%22library%22%3A%7B%22id%22%3A1093634%7D%2C%22meta%22%3A%7B%7D%2C%22bib%22%3A%22%26lt%3Bdiv%20class%3D%26quot%3Bcsl-bib-body%26quot%3B%20style%3D%26quot%3Bline-height%3A%201.35%3B%20%26quot%3B%26gt%3B%5Cn%20%20%26lt%3Bdiv%20class%3D%26quot%3Bcsl-entry%26quot%3B%20style%3D%26quot%3Bclear%3A%20left%3B%20%26quot%3B%26gt%3B%5Cn%20%20%20%20%26lt%3Bdiv%20class%3D%26quot%3Bcsl-left-margin%26quot%3B%20style%3D%26quot%3Bfloat%3A%20left%3B%20padding-right%3A%200.5em%3B%20text-align%3A%20right%3B%20width%3A%201em%3B%26quot%3B%26gt%3B1.%26lt%3B%5C%2Fdiv%26gt%3B%26lt%3Bdiv%20class%3D%26quot%3Bcsl-right-inline%26quot%3B%20style%3D%26quot%3Bmargin%3A%200%20.4em%200%201.5em%3B%26quot%3B%26gt%3B1.1%29.%26lt%3B%5C%2Fdiv%26gt%3B%5Cn%20%20%20%26lt%3B%5C%2Fdiv%26gt%3B%5Cn%26lt%3B%5C%2Fdiv%26gt%3B%22%2C%22data%22%3A%7B%22parentItem%22%3A%22RKAEXJNU%22%2C%22itemType%22%3A%22annotation%22%2C%22annotationType%22%3A%22highlight%22%2C%22annotationText%22%3A%221.1%29%22%2C%22annotationComment%22%3A%22%22%2C%22annotationColor%22%3A%22%23ffd400%22%2C%22annotationPageLabel%22%3A%225%22%2C%22annotationSortIndex%22%3A%2200004%7C002532%7C00647%22%2C%22annotationPosition%22%3A%22%7B%5C%22pageIndex%5C%22%3A4%2C%5C%22rects%5C%22%3A%5B%5B162.867%2C138.949%2C175.02%2C144.914%5D%5D%7D%22%2C%22dateModified%22%3A%222025-09-24T09%3A22%3A06Z%22%7D%7D%2C%7B%22key%22%3A%22ZFMNHDA9%22%2C%22library%22%3A%7B%22id%22%3A1093634%7D%2C%22meta%22%3A%7B%7D%2C%22bib%22%3A%22%26lt%3Bdiv%20class%3D%26quot%3Bcsl-bib-body%26quot%3B%20style%3D%26quot%3Bline-height%3A%201.35%3B%20%26quot%3B%26gt%3B%5Cn%20%20%26lt%3Bdiv%20class%3D%26quot%3Bcsl-entry%26quot%3B%20style%3D%26quot%3Bclear%3A%20left%3B%20%26quot%3B%26gt%3B%5Cn%20%20%20%20%26lt%3Bdiv%20class%3D%26quot%3Bcsl-left-margin%26quot%3B%20style%3D%26quot%3Bfloat%3A%20left%3B%20padding-right%3A%200.5em%3B%20text-align%3A%20right%3B%20width%3A%201em%3B%26quot%3B%26gt%3B1.%26lt%3B%5C%2Fdiv%26gt%3B%26lt%3Bdiv%20class%3D%26quot%3Bcsl-right-inline%26quot%3B%20style%3D%26quot%3Bmargin%3A%200%20.4em%200%201.5em%3B%26quot%3B%26gt%3B6.5.%26lt%3B%5C%2Fdiv%26gt%3B%5Cn%20%20%20%26lt%3B%5C%2Fdiv%26gt%3B%5Cn%26lt%3B%5C%2Fdiv%26gt%3B%22%2C%22data%22%3A%7B%22parentItem%22%3A%22RKAEXJNU%22%2C%22itemType%22%3A%22annotation%22%2C%22annotationType%22%3A%22highlight%22%2C%22annotationText%22%3A%226.5%22%2C%22annotationComment%22%3A%22%22%2C%22annotationColor%22%3A%22%23ffd400%22%2C%22annotationPageLabel%22%3A%225%22%2C%22annotationSortIndex%22%3A%2200004%7C002464%7C00635%22%2C%22annotationPosition%22%3A%22%7B%5C%22pageIndex%5C%22%3A4%2C%5C%22rects%5C%22%3A%5B%5B166.708%2C150.922%2C176.326%2C156.887%5D%5D%7D%22%2C%22dateModified%22%3A%222025-09-24T09%3A22%3A03Z%22%7D%7D%2C%7B%22key%22%3A%22N76RFVZP%22%2C%22library%22%3A%7B%22id%22%3A1093634%7D%2C%22meta%22%3A%7B%7D%2C%22bib%22%3A%22%26lt%3Bdiv%20class%3D%26quot%3Bcsl-bib-body%26quot%3B%20style%3D%26quot%3Bline-height%3A%201.35%3B%20%26quot%3B%26gt%3B%5Cn%20%20%26lt%3Bdiv%20class%3D%26quot%3Bcsl-entry%26quot%3B%20style%3D%26quot%3Bclear%3A%20left%3B%20%26quot%3B%26gt%3B%5Cn%20%20%20%20%26lt%3Bdiv%20class%3D%26quot%3Bcsl-left-margin%26quot%3B%20style%3D%26quot%3Bfloat%3A%20left%3B%20padding-right%3A%200.5em%3B%20text-align%3A%20right%3B%20width%3A%201em%3B%26quot%3B%26gt%3B1.%26lt%3B%5C%2Fdiv%26gt%3B%26lt%3Bdiv%20class%3D%26quot%3Bcsl-right-inline%26quot%3B%20style%3D%26quot%3Bmargin%3A%200%20.4em%200%201.5em%3B%26quot%3B%26gt%3B23.8.%26lt%3B%5C%2Fdiv%26gt%3B%5Cn%20%20%20%26lt%3B%5C%2Fdiv%26gt%3B%5Cn%26lt%3B%5C%2Fdiv%26gt%3B%22%2C%22data%22%3A%7B%22parentItem%22%3A%22RKAEXJNU%22%2C%22itemType%22%3A%22annotation%22%2C%22annotationType%22%3A%22highlight%22%2C%22annotationText%22%3A%2223.8%22%2C%22annotationComment%22%3A%22%22%2C%22annotationColor%22%3A%22%23ffd400%22%2C%22annotationPageLabel%22%3A%225%22%2C%22annotationSortIndex%22%3A%2200004%7C002387%7C00623%22%2C%22annotationPosition%22%3A%22%7B%5C%22pageIndex%5C%22%3A4%2C%5C%22rects%5C%22%3A%5B%5B166.708%2C162.896%2C180.168%2C168.861%5D%5D%7D%22%2C%22dateModified%22%3A%222025-09-24T09%3A22%3A00Z%22%7D%7D%2C%7B%22key%22%3A%22GBEQF7IT%22%2C%22library%22%3A%7B%22id%22%3A1093634%7D%2C%22meta%22%3A%7B%7D%2C%22bib%22%3A%22%26lt%3Bdiv%20class%3D%26quot%3Bcsl-bib-body%26quot%3B%20style%3D%26quot%3Bline-height%3A%201.35%3B%20%26quot%3B%26gt%3B%5Cn%20%20%26lt%3Bdiv%20class%3D%26quot%3Bcsl-entry%26quot%3B%20style%3D%26quot%3Bclear%3A%20left%3B%20%26quot%3B%26gt%3B%5Cn%20%20%20%20%26lt%3Bdiv%20class%3D%26quot%3Bcsl-left-margin%26quot%3B%20style%3D%26quot%3Bfloat%3A%20left%3B%20padding-right%3A%200.5em%3B%20text-align%3A%20right%3B%20width%3A%201em%3B%26quot%3B%26gt%3B1.%26lt%3B%5C%2Fdiv%26gt%3B%26lt%3Bdiv%20class%3D%26quot%3Bcsl-right-inline%26quot%3B%20style%3D%26quot%3Bmargin%3A%200%20.4em%200%201.5em%3B%26quot%3B%26gt%3B68.6.%26lt%3B%5C%2Fdiv%26gt%3B%5Cn%20%20%20%26lt%3B%5C%2Fdiv%26gt%3B%5Cn%26lt%3B%5C%2Fdiv%26gt%3B%22%2C%22data%22%3A%7B%22parentItem%22%3A%22RKAEXJNU%22%2C%22itemType%22%3A%22annotation%22%2C%22annotationType%22%3A%22highlight%22%2C%22annotationText%22%3A%2268.6%22%2C%22annotationComment%22%3A%22%22%2C%22annotationColor%22%3A%22%23ffd400%22%2C%22annotationPageLabel%22%3A%225%22%2C%22annotationSortIndex%22%3A%2200004%7C002302%7C00611%22%2C%22annotationPosition%22%3A%22%7B%5C%22pageIndex%5C%22%3A4%2C%5C%22rects%5C%22%3A%5B%5B171.734%2C174.87%2C185.194%2C180.834%5D%5D%7D%22%2C%22dateModified%22%3A%222025-09-24T09%3A21%3A57Z%22%7D%7D%2C%7B%22key%22%3A%22BI3X9KPE%22%2C%22library%22%3A%7B%22id%22%3A1093634%7D%2C%22meta%22%3A%7B%7D%2C%22bib%22%3A%22%26lt%3Bdiv%20class%3D%26quot%3Bcsl-bib-body%26quot%3B%20style%3D%26quot%3Bline-height%3A%201.35%3B%20%26quot%3B%26gt%3B%5Cn%20%20%26lt%3Bdiv%20class%3D%26quot%3Bcsl-entry%26quot%3B%20style%3D%26quot%3Bclear%3A%20left%3B%20%26quot%3B%26gt%3B%5Cn%20%20%20%20%26lt%3Bdiv%20class%3D%26quot%3Bcsl-left-margin%26quot%3B%20style%3D%26quot%3Bfloat%3A%20left%3B%20padding-right%3A%200.5em%3B%20text-align%3A%20right%3B%20width%3A%201em%3B%26quot%3B%26gt%3B1.%26lt%3B%5C%2Fdiv%26gt%3B%26lt%3Bdiv%20class%3D%26quot%3Bcsl-right-inline%26quot%3B%20style%3D%26quot%3Bmargin%3A%200%20.4em%200%201.5em%3B%26quot%3B%26gt%3BCKD%20stage%20at%20first%20qualifying%20eGFR%20measurement.%26lt%3B%5C%2Fdiv%26gt%3B%5Cn%20%20%20%26lt%3B%5C%2Fdiv%26gt%3B%5Cn%26lt%3B%5C%2Fdiv%26gt%3B%22%2C%22data%22%3A%7B%22parentItem%22%3A%22RKAEXJNU%22%2C%22itemType%22%3A%22annotation%22%2C%22annotationType%22%3A%22highlight%22%2C%22annotationText%22%3A%22CKD%20stage%20at%20first%20qualifying%20eGFR%20measurement%22%2C%22annotationComment%22%3A%22%22%2C%22annotationColor%22%3A%22%23ffd400%22%2C%22annotationPageLabel%22%3A%225%22%2C%22annotationSortIndex%22%3A%2200004%7C002248%7C00585%22%2C%22annotationPosition%22%3A%22%7B%5C%22pageIndex%5C%22%3A4%2C%5C%22rects%5C%22%3A%5B%5B50.888%2C200.562%2C100.274%2C206.527%5D%2C%5B50.888%2C193.079%2C96.019%2C199.044%5D%2C%5B50.888%2C185.596%2C89.966%2C192.529%5D%5D%7D%22%2C%22dateModified%22%3A%222025-09-24T09%3A21%3A53Z%22%7D%7D%2C%7B%22key%22%3A%22CJTBKVAG%22%2C%22library%22%3A%7B%22id%22%3A1093634%7D%2C%22meta%22%3A%7B%7D%2C%22bib%22%3A%22%26lt%3Bdiv%20class%3D%26quot%3Bcsl-bib-body%26quot%3B%20style%3D%26quot%3Bline-height%3A%201.35%3B%20%26quot%3B%26gt%3B%5Cn%20%20%26lt%3Bdiv%20class%3D%26quot%3Bcsl-entry%26quot%3B%20style%3D%26quot%3Bclear%3A%20left%3B%20%26quot%3B%26gt%3B%5Cn%20%20%20%20%26lt%3Bdiv%20class%3D%26quot%3Bcsl-left-margin%26quot%3B%20style%3D%26quot%3Bfloat%3A%20left%3B%20padding-right%3A%200.5em%3B%20text-align%3A%20right%3B%20width%3A%201em%3B%26quot%3B%26gt%3B1.%26lt%3B%5C%2Fdiv%26gt%3B%26lt%3Bdiv%20class%3D%26quot%3Bcsl-right-inline%26quot%3B%20style%3D%26quot%3Bmargin%3A%200%20.4em%200%201.5em%3B%26quot%3B%26gt%3Btesting%20within%206%20months%20of%20CKD%20diagnosis.%26lt%3B%5C%2Fdiv%26gt%3B%5Cn%20%20%20%26lt%3B%5C%2Fdiv%26gt%3B%5Cn%26lt%3B%5C%2Fdiv%26gt%3B%22%2C%22data%22%3A%7B%22parentItem%22%3A%22RKAEXJNU%22%2C%22itemType%22%3A%22annotation%22%2C%22annotationType%22%3A%22highlight%22%2C%22annotationText%22%3A%22testing%20within%206%20months%20of%20CKD%20diagnosis.%22%2C%22annotationComment%22%3A%22%22%2C%22annotationColor%22%3A%22%23ffd400%22%2C%22annotationPageLabel%22%3A%226%22%2C%22annotationSortIndex%22%3A%2200005%7C000286%7C00124%22%2C%22annotationPosition%22%3A%22%7B%5C%22pageIndex%5C%22%3A5%2C%5C%22rects%5C%22%3A%5B%5B47.894%2C659.91%2C192.534%2C667.229%5D%5D%7D%22%2C%22dateModified%22%3A%222025-09-24T09%3A19%3A02Z%22%7D%7D%2C%7B%22key%22%3A%22H4QWENIJ%22%2C%22library%22%3A%7B%22id%22%3A1093634%7D%2C%22meta%22%3A%7B%7D%2C%22bib%22%3A%22%26lt%3Bdiv%20class%3D%26quot%3Bcsl-bib-body%26quot%3B%20style%3D%26quot%3Bline-height%3A%201.35%3B%20%26quot%3B%26gt%3B%5Cn%20%20%26lt%3Bdiv%20class%3D%26quot%3Bcsl-entry%26quot%3B%20style%3D%26quot%3Bclear%3A%20left%3B%20%26quot%3B%26gt%3B%5Cn%20%20%20%20%26lt%3Bdiv%20class%3D%26quot%3Bcsl-left-margin%26quot%3B%20style%3D%26quot%3Bfloat%3A%20left%3B%20padding-right%3A%200.5em%3B%20text-align%3A%20right%3B%20width%3A%201em%3B%26quot%3B%26gt%3B1.%26lt%3B%5C%2Fdiv%26gt%3B%26lt%3Bdiv%20class%3D%26quot%3Bcsl-right-inline%26quot%3B%20style%3D%26quot%3Bmargin%3A%200%20.4em%200%201.5em%3B%26quot%3B%26gt%3B6529%20patients%20with%20CKD%20%2818.4%25%29%20received%20follow-up%20urine%20albumin%20to%20creatinine%20ratio%20%28UACR.%26lt%3B%5C%2Fdiv%26gt%3B%5Cn%20%20%20%26lt%3B%5C%2Fdiv%26gt%3B%5Cn%26lt%3B%5C%2Fdiv%26gt%3B%22%2C%22data%22%3A%7B%22parentItem%22%3A%22RKAEXJNU%22%2C%22itemType%22%3A%22annotation%22%2C%22annotationType%22%3A%22highlight%22%2C%22annotationText%22%3A%226529%20patients%20with%20CKD%20%2818.4%25%29%20received%20follow-up%20urine%20albumin%20to%20creatinine%20ratio%20%28UACR%22%2C%22annotationComment%22%3A%22%22%2C%22annotationColor%22%3A%22%23ffd400%22%2C%22annotationPageLabel%22%3A%226%22%2C%22annotationSortIndex%22%3A%2200005%7C000208%7C00111%22%2C%22annotationPosition%22%3A%22%7B%5C%22pageIndex%5C%22%3A5%2C%5C%22rects%5C%22%3A%5B%5B76.26%2C672.881%2C390.71%2C680.201%5D%5D%7D%22%2C%22dateModified%22%3A%222025-09-24T09%3A18%3A57Z%22%7D%7D%2C%7B%22key%22%3A%22LGFJ5SMF%22%2C%22library%22%3A%7B%22id%22%3A1093634%7D%2C%22meta%22%3A%7B%7D%2C%22bib%22%3A%22%26lt%3Bdiv%20class%3D%26quot%3Bcsl-bib-body%26quot%3B%20style%3D%26quot%3Bline-height%3A%201.35%3B%20%26quot%3B%26gt%3B%5Cn%20%20%26lt%3Bdiv%20class%3D%26quot%3Bcsl-entry%26quot%3B%20style%3D%26quot%3Bclear%3A%20left%3B%20%26quot%3B%26gt%3B%5Cn%20%20%20%20%26lt%3Bdiv%20class%3D%26quot%3Bcsl-left-margin%26quot%3B%20style%3D%26quot%3Bfloat%3A%20left%3B%20padding-right%3A%200.5em%3B%20text-align%3A%20right%3B%20width%3A%201em%3B%26quot%3B%26gt%3B1.%26lt%3B%5C%2Fdiv%26gt%3B%26lt%3Bdiv%20class%3D%26quot%3Bcsl-right-inline%26quot%3B%20style%3D%26quot%3Bmargin%3A%200%20.4em%200%201.5em%3B%26quot%3B%26gt%3BWith%20Diabetes%20and%20Hypertension%20%28n%20%3D%2014%20859%20%5B32.2%25%5D%29.%26lt%3B%5C%2Fdiv%26gt%3B%5Cn%20%20%20%26lt%3B%5C%2Fdiv%26gt%3B%5Cn%26lt%3B%5C%2Fdiv%26gt%3B%22%2C%22data%22%3A%7B%22parentItem%22%3A%22RKAEXJNU%22%2C%22itemType%22%3A%22annotation%22%2C%22annotationType%22%3A%22highlight%22%2C%22annotationText%22%3A%22With%20Diabetes%20and%20Hypertension%20%28n%20%3D%2014%20859%20%5B32.2%25%5D%29%22%2C%22annotationComment%22%3A%22%22%2C%22annotationColor%22%3A%22%23ffd400%22%2C%22annotationPageLabel%22%3A%225%22%2C%22annotationSortIndex%22%3A%2200004%7C001818%7C00479%22%2C%22annotationPosition%22%3A%22%7B%5C%22pageIndex%5C%22%3A4%2C%5C%22rects%5C%22%3A%5B%5B451.611%2C321.976%2C503.135%2C327.717%5D%2C%5B451.611%2C314.492%2C489.835%2C320.234%5D%2C%5B451.611%2C307.009%2C513.321%2C312.75%5D%5D%7D%22%2C%22dateModified%22%3A%222025-09-24T09%3A17%3A11Z%22%7D%7D%2C%7B%22key%22%3A%229S49AALH%22%2C%22library%22%3A%7B%22id%22%3A1093634%7D%2C%22meta%22%3A%7B%7D%2C%22bib%22%3A%22%26lt%3Bdiv%20class%3D%26quot%3Bcsl-bib-body%26quot%3B%20style%3D%26quot%3Bline-height%3A%201.35%3B%20%26quot%3B%26gt%3B%5Cn%20%20%26lt%3Bdiv%20class%3D%26quot%3Bcsl-entry%26quot%3B%20style%3D%26quot%3Bclear%3A%20left%3B%20%26quot%3B%26gt%3B%5Cn%20%20%20%20%26lt%3Bdiv%20class%3D%26quot%3Bcsl-left-margin%26quot%3B%20style%3D%26quot%3Bfloat%3A%20left%3B%20padding-right%3A%200.5em%3B%20text-align%3A%20right%3B%20width%3A%201em%3B%26quot%3B%26gt%3B1.%26lt%3B%5C%2Fdiv%26gt%3B%26lt%3Bdiv%20class%3D%26quot%3Bcsl-right-inline%26quot%3B%20style%3D%26quot%3Bmargin%3A%200%20.4em%200%201.5em%3B%26quot%3B%26gt%3BWith%20Diabetes%20%28n%20%3D%206770%20%5B14.7%25%5D%29.%26lt%3B%5C%2Fdiv%26gt%3B%5Cn%20%20%20%26lt%3B%5C%2Fdiv%26gt%3B%5Cn%26lt%3B%5C%2Fdiv%26gt%3B%22%2C%22data%22%3A%7B%22parentItem%22%3A%22RKAEXJNU%22%2C%22itemType%22%3A%22annotation%22%2C%22annotationType%22%3A%22highlight%22%2C%22annotationText%22%3A%22With%20Diabetes%20%28n%20%3D%206770%20%5B14.7%25%5D%29%22%2C%22annotationComment%22%3A%22%22%2C%22annotationColor%22%3A%22%23ffd400%22%2C%22annotationPageLabel%22%3A%225%22%2C%22annotationSortIndex%22%3A%2200004%7C001744%7C00479%22%2C%22annotationPosition%22%3A%22%7B%5C%22pageIndex%5C%22%3A4%2C%5C%22rects%5C%22%3A%5B%5B293.185%2C314.492%2C332.724%2C320.233%5D%2C%5B293.185%2C307.008%2C349.869%2C312.75%5D%5D%7D%22%2C%22dateModified%22%3A%222025-09-24T09%3A17%3A07Z%22%7D%7D%2C%7B%22key%22%3A%22K3T2S85Z%22%2C%22library%22%3A%7B%22id%22%3A1093634%7D%2C%22meta%22%3A%7B%7D%2C%22bib%22%3A%22%26lt%3Bdiv%20class%3D%26quot%3Bcsl-bib-body%26quot%3B%20style%3D%26quot%3Bline-height%3A%201.35%3B%20%26quot%3B%26gt%3B%5Cn%20%20%26lt%3Bdiv%20class%3D%26quot%3Bcsl-entry%26quot%3B%20style%3D%26quot%3Bclear%3A%20left%3B%20%26quot%3B%26gt%3B%5Cn%20%20%20%20%26lt%3Bdiv%20class%3D%26quot%3Bcsl-left-margin%26quot%3B%20style%3D%26quot%3Bfloat%3A%20left%3B%20padding-right%3A%200.5em%3B%20text-align%3A%20right%3B%20width%3A%201em%3B%26quot%3B%26gt%3B1.%26lt%3B%5C%2Fdiv%26gt%3B%26lt%3Bdiv%20class%3D%26quot%3Bcsl-right-inline%26quot%3B%20style%3D%26quot%3Bmargin%3A%200%20.4em%200%201.5em%3B%26quot%3B%26gt%3B6770%20%2814.7%25%29%20had%20diabetes%20without%26%23xA0%3B%20hypertension%2C%2016%20930%20%2836.7%25%29%20had%20hypertension%20only%2C%20and%2014%20859%20%2832.2%25%29%20had%20both%20diabetes%20and%26%23xA0%3B%20hypertension.%26lt%3B%5C%2Fdiv%26gt%3B%5Cn%20%20%20%26lt%3B%5C%2Fdiv%26gt%3B%5Cn%26lt%3B%5C%2Fdiv%26gt%3B%22%2C%22data%22%3A%7B%22parentItem%22%3A%22RKAEXJNU%22%2C%22itemType%22%3A%22annotation%22%2C%22annotationType%22%3A%22highlight%22%2C%22annotationText%22%3A%226770%20%2814.7%25%29%20had%20diabetes%20without%20%20hypertension%2C%2016%20930%20%2836.7%25%29%20had%20hypertension%20only%2C%20and%2014%20859%20%2832.2%25%29%20had%20both%20diabetes%20and%20%20hypertension%22%2C%22annotationComment%22%3A%22%22%2C%22annotationColor%22%3A%22%23ffd400%22%2C%22annotationPageLabel%22%3A%225%22%2C%22annotationSortIndex%22%3A%2200004%7C000846%7C00245%22%2C%22annotationPosition%22%3A%22%7B%5C%22pageIndex%5C%22%3A4%2C%5C%22rects%5C%22%3A%5B%5B264.609%2C538.927%2C387.219%2C546.247%5D%2C%5B47.894%2C525.956%2C382.594%2C533.275%5D%2C%5B47.894%2C512.976%2C94.218%2C520.304%5D%5D%7D%22%2C%22dateModified%22%3A%222025-09-24T09%3A14%3A04Z%22%7D%7D%2C%7B%22key%22%3A%22UG4DEHZK%22%2C%22library%22%3A%7B%22id%22%3A1093634%7D%2C%22meta%22%3A%7B%7D%2C%22bib%22%3A%22%26lt%3Bdiv%20class%3D%26quot%3Bcsl-bib-body%26quot%3B%20style%3D%26quot%3Bline-height%3A%201.35%3B%20%26quot%3B%26gt%3B%5Cn%20%20%26lt%3Bdiv%20class%3D%26quot%3Bcsl-entry%26quot%3B%20style%3D%26quot%3Bclear%3A%20left%3B%20%26quot%3B%26gt%3B%5Cn%20%20%20%20%26lt%3Bdiv%20class%3D%26quot%3Bcsl-left-margin%26quot%3B%20style%3D%26quot%3Bfloat%3A%20left%3B%20padding-right%3A%200.5em%3B%20text-align%3A%20right%3B%20width%3A%201em%3B%26quot%3B%26gt%3B1.%26lt%3B%5C%2Fdiv%26gt%3B%26lt%3Bdiv%20class%3D%26quot%3Bcsl-right-inline%26quot%3B%20style%3D%26quot%3Bmargin%3A%200%20.4em%200%201.5em%3B%26quot%3B%26gt%3B56.0%29.%26lt%3B%5C%2Fdiv%26gt%3B%5Cn%20%20%20%26lt%3B%5C%2Fdiv%26gt%3B%5Cn%26lt%3B%5C%2Fdiv%26gt%3B%22%2C%22data%22%3A%7B%22parentItem%22%3A%22RKAEXJNU%22%2C%22itemType%22%3A%22annotation%22%2C%22annotationType%22%3A%22highlight%22%2C%22annotationText%22%3A%2256.0%29%22%2C%22annotationComment%22%3A%22%22%2C%22annotationColor%22%3A%22%23ffd400%22%2C%22annotationPageLabel%22%3A%225%22%2C%22annotationSortIndex%22%3A%2200004%7C002196%7C00573%22%2C%22annotationPosition%22%3A%22%7B%5C%22pageIndex%5C%22%3A4%2C%5C%22rects%5C%22%3A%5B%5B148.486%2C212.536%2C164.481%2C218.501%5D%5D%7D%22%2C%22dateModified%22%3A%222025-09-24T09%3A12%3A43Z%22%7D%7D%2C%7B%22key%22%3A%224QZLLW6E%22%2C%22library%22%3A%7B%22id%22%3A1093634%7D%2C%22meta%22%3A%7B%7D%2C%22bib%22%3A%22%26lt%3Bdiv%20class%3D%26quot%3Bcsl-bib-body%26quot%3B%20style%3D%26quot%3Bline-height%3A%201.35%3B%20%26quot%3B%26gt%3B%5Cn%20%20%26lt%3Bdiv%20class%3D%26quot%3Bcsl-entry%26quot%3B%20style%3D%26quot%3Bclear%3A%20left%3B%20%26quot%3B%26gt%3B%5Cn%20%20%20%20%26lt%3Bdiv%20class%3D%26quot%3Bcsl-left-margin%26quot%3B%20style%3D%26quot%3Bfloat%3A%20left%3B%20padding-right%3A%200.5em%3B%20text-align%3A%20right%3B%20width%3A%201em%3B%26quot%3B%26gt%3B1.%26lt%3B%5C%2Fdiv%26gt%3B%26lt%3Bdiv%20class%3D%26quot%3Bcsl-right-inline%26quot%3B%20style%3D%26quot%3Bmargin%3A%200%20.4em%200%201.5em%3B%26quot%3B%26gt%3B69.2%20%2814.0%29.%26lt%3B%5C%2Fdiv%26gt%3B%5Cn%20%20%20%26lt%3B%5C%2Fdiv%26gt%3B%5Cn%26lt%3B%5C%2Fdiv%26gt%3B%22%2C%22data%22%3A%7B%22parentItem%22%3A%22RKAEXJNU%22%2C%22itemType%22%3A%22annotation%22%2C%22annotationType%22%3A%22highlight%22%2C%22annotationText%22%3A%2269.2%20%2814.0%29%22%2C%22annotationComment%22%3A%22%22%2C%22annotationColor%22%3A%22%23ffd400%22%2C%22annotationPageLabel%22%3A%225%22%2C%22annotationSortIndex%22%3A%2200004%7C002132%7C00561%22%2C%22annotationPosition%22%3A%22%7B%5C%22pageIndex%5C%22%3A4%2C%5C%22rects%5C%22%3A%5B%5B124.05%2C224.51%2C157.547%2C230.475%5D%5D%7D%22%2C%22dateModified%22%3A%222025-09-24T09%3A10%3A41Z%22%7D%7D%2C%7B%22key%22%3A%22BNCZ2LB4%22%2C%22library%22%3A%7B%22id%22%3A1093634%7D%2C%22meta%22%3A%7B%7D%2C%22bib%22%3A%22%26lt%3Bdiv%20class%3D%26quot%3Bcsl-bib-body%26quot%3B%20style%3D%26quot%3Bline-height%3A%201.35%3B%20%26quot%3B%26gt%3B%5Cn%20%20%26lt%3Bdiv%20class%3D%26quot%3Bcsl-entry%26quot%3B%20style%3D%26quot%3Bclear%3A%20left%3B%20%26quot%3B%26gt%3B%5Cn%20%20%20%20%26lt%3Bdiv%20class%3D%26quot%3Bcsl-left-margin%26quot%3B%20style%3D%26quot%3Bfloat%3A%20left%3B%20padding-right%3A%200.5em%3B%20text-align%3A%20right%3B%20width%3A%201em%3B%26quot%3B%26gt%3B1.%26lt%3B%5C%2Fdiv%26gt%3B%26lt%3Bdiv%20class%3D%26quot%3Bcsl-right-inline%26quot%3B%20style%3D%26quot%3Bmargin%3A%200%20.4em%200%201.5em%3B%26quot%3B%26gt%3B6%20162%20patients%20%28mean%20%5BSD%5D%20age%2C%2069.2%20%5B14.0%5D%20years%3B%2025%20855%26%23xA0%3B%20%5B56.0%25%5D%20female%29%20from%20primary%20care%20practices.%26lt%3B%5C%2Fdiv%26gt%3B%5Cn%20%20%20%26lt%3B%5C%2Fdiv%26gt%3B%5Cn%26lt%3B%5C%2Fdiv%26gt%3B%22%2C%22data%22%3A%7B%22parentItem%22%3A%22RKAEXJNU%22%2C%22itemType%22%3A%22annotation%22%2C%22annotationType%22%3A%22highlight%22%2C%22annotationText%22%3A%226%20162%20patients%20%28mean%20%5BSD%5D%20age%2C%2069.2%20%5B14.0%5D%20years%3B%2025%20855%20%20%5B56.0%25%5D%20female%29%20from%20primary%20care%20practices%22%2C%22annotationComment%22%3A%22%22%2C%22annotationColor%22%3A%22%23ffd400%22%2C%22annotationPageLabel%22%3A%225%22%2C%22annotationSortIndex%22%3A%2200004%7C000505%7C00193%22%2C%22annotationPosition%22%3A%22%7B%5C%22pageIndex%5C%22%3A4%2C%5C%22rects%5C%22%3A%5B%5B184.839%2C590.812%2C378.109%2C598.132%5D%2C%5B47.894%2C577.841%2C202.277%2C585.161%5D%5D%7D%22%2C%22dateModified%22%3A%222025-09-24T09%3A09%3A36Z%22%7D%7D%2C%7B%22key%22%3A%22CGQT4G2Q%22%2C%22library%22%3A%7B%22id%22%3A1093634%7D%2C%22meta%22%3A%7B%7D%2C%22bib%22%3A%22%26lt%3Bdiv%20class%3D%26quot%3Bcsl-bib-body%26quot%3B%20style%3D%26quot%3Bline-height%3A%201.35%3B%20%26quot%3B%26gt%3B%5Cn%20%20%26lt%3Bdiv%20class%3D%26quot%3Bcsl-entry%26quot%3B%20style%3D%26quot%3Bclear%3A%20left%3B%20%26quot%3B%26gt%3B%5Cn%20%20%20%20%26lt%3Bdiv%20class%3D%26quot%3Bcsl-left-margin%26quot%3B%20style%3D%26quot%3Bfloat%3A%20left%3B%20padding-right%3A%200.5em%3B%20text-align%3A%20right%3B%20width%3A%201em%3B%26quot%3B%26gt%3B1.%26lt%3B%5C%2Fdiv%26gt%3B%26lt%3Bdiv%20class%3D%26quot%3Bcsl-right-inline%26quot%3B%20style%3D%26quot%3Bmargin%3A%200%20.4em%200%201.5em%3B%26quot%3B%26gt%3BOnly%206529%20patients%20%2818.4%25%29%20with%20CKD%20received%20a%20urine%20albumin%20test%20within%206%26%23xA0%3B%20months%20of%20CKD%20diagnosis%2C.%26lt%3B%5C%2Fdiv%26gt%3B%5Cn%20%20%20%26lt%3B%5C%2Fdiv%26gt%3B%5Cn%26lt%3B%5C%2Fdiv%26gt%3B%22%2C%22data%22%3A%7B%22parentItem%22%3A%22RKAEXJNU%22%2C%22itemType%22%3A%22annotation%22%2C%22annotationType%22%3A%22highlight%22%2C%22annotationText%22%3A%22Only%206529%20patients%20%2818.4%25%29%20with%20CKD%20received%20a%20urine%20albumin%20test%20within%206%20%20months%20of%20CKD%20diagnosis%2C%22%2C%22annotationComment%22%3A%22%22%2C%22annotationColor%22%3A%22%23ffd400%22%2C%22annotationPageLabel%22%3A%221%22%2C%22annotationSortIndex%22%3A%2200000%7C002194%7C00576%22%2C%22annotationPosition%22%3A%22%7B%5C%22pageIndex%5C%22%3A0%2C%5C%22rects%5C%22%3A%5B%5B118.493%2C207.909%2C379.41%2C215.228%5D%2C%5B47.893%2C194.937%2C136.675%2C202.257%5D%5D%7D%22%2C%22dateModified%22%3A%222025-09-24T09%3A08%3A29Z%22%7D%7D%2C%7B%22key%22%3A%22TUV5J634%22%2C%22library%22%3A%7B%22id%22%3A1093634%7D%2C%22meta%22%3A%7B%7D%2C%22bib%22%3A%22%26lt%3Bdiv%20class%3D%26quot%3Bcsl-bib-body%26quot%3B%20style%3D%26quot%3Bline-height%3A%201.35%3B%20%26quot%3B%26gt%3B%5Cn%20%20%26lt%3Bdiv%20class%3D%26quot%3Bcsl-entry%26quot%3B%20style%3D%26quot%3Bclear%3A%20left%3B%20%26quot%3B%26gt%3B%5Cn%20%20%20%20%26lt%3Bdiv%20class%3D%26quot%3Bcsl-left-margin%26quot%3B%20style%3D%26quot%3Bfloat%3A%20left%3B%20padding-right%3A%200.5em%3B%20text-align%3A%20right%3B%20width%3A%201em%3B%26quot%3B%26gt%3B1.%26lt%3B%5C%2Fdiv%26gt%3B%26lt%3Bdiv%20class%3D%26quot%3Bcsl-right-inline%26quot%3B%20style%3D%26quot%3Bmargin%3A%200%20.4em%200%201.5em%3B%26quot%3B%26gt%3Bwith%20stage%203%20to%205%20CKD.%26lt%3B%5C%2Fdiv%26gt%3B%5Cn%20%20%20%26lt%3B%5C%2Fdiv%26gt%3B%5Cn%26lt%3B%5C%2Fdiv%26gt%3B%22%2C%22data%22%3A%7B%22parentItem%22%3A%22RKAEXJNU%22%2C%22itemType%22%3A%22annotation%22%2C%22annotationType%22%3A%22highlight%22%2C%22annotationText%22%3A%22with%20stage%203%20to%205%20CKD.%22%2C%22annotationComment%22%3A%22%22%2C%22annotationColor%22%3A%22%23ffd400%22%2C%22annotationPageLabel%22%3A%221%22%2C%22annotationSortIndex%22%3A%2200000%7C001601%7C00485%22%2C%22annotationPosition%22%3A%22%7B%5C%22pageIndex%5C%22%3A0%2C%5C%22rects%5C%22%3A%5B%5B75.98%2C298.708%2C151.166%2C306.027%5D%5D%7D%22%2C%22dateModified%22%3A%222025-09-24T09%3A08%3A03Z%22%7D%7D%2C%7B%22key%22%3A%22CUF55GJJ%22%2C%22library%22%3A%7B%22id%22%3A1093634%7D%2C%22meta%22%3A%7B%7D%2C%22bib%22%3A%22%26lt%3Bdiv%20class%3D%26quot%3Bcsl-bib-body%26quot%3B%20style%3D%26quot%3Bline-height%3A%201.35%3B%20%26quot%3B%26gt%3B%5Cn%20%20%26lt%3Bdiv%20class%3D%26quot%3Bcsl-entry%26quot%3B%20style%3D%26quot%3Bclear%3A%20left%3B%20%26quot%3B%26gt%3B%5Cn%20%20%20%20%26lt%3Bdiv%20class%3D%26quot%3Bcsl-left-margin%26quot%3B%20style%3D%26quot%3Bfloat%3A%20left%3B%20padding-right%3A%200.5em%3B%20text-align%3A%20right%3B%20width%3A%201em%3B%26quot%3B%26gt%3B1.%26lt%3B%5C%2Fdiv%26gt%3B%26lt%3Bdiv%20class%3D%26quot%3Bcsl-right-inline%26quot%3B%20style%3D%26quot%3Bmargin%3A%200%20.4em%200%201.5em%3B%26quot%3B%26gt%3B46%20162%20patients%20%28mean%20%5BSD%5D%20age%2C%2069.2%20%5B14.0%5D.%26lt%3B%5C%2Fdiv%26gt%3B%5Cn%20%20%20%26lt%3B%5C%2Fdiv%26gt%3B%5Cn%26lt%3B%5C%2Fdiv%26gt%3B%22%2C%22data%22%3A%7B%22parentItem%22%3A%22RKAEXJNU%22%2C%22itemType%22%3A%22annotation%22%2C%22annotationType%22%3A%22highlight%22%2C%22annotationText%22%3A%2246%20162%20patients%20%28mean%20%5BSD%5D%20age%2C%2069.2%20%5B14.0%5D%22%2C%22annotationComment%22%3A%22%22%2C%22annotationColor%22%3A%22%23ffd400%22%2C%22annotationPageLabel%22%3A%221%22%2C%22annotationSortIndex%22%3A%2200000%7C001540%7C00473%22%2C%22annotationPosition%22%3A%22%7B%5C%22pageIndex%5C%22%3A0%2C%5C%22rects%5C%22%3A%5B%5B162.865%2C311.671%2C313.256%2C318.999%5D%5D%7D%22%2C%22dateModified%22%3A%222025-09-24T09%3A07%3A58Z%22%7D%7D%2C%7B%22key%22%3A%22DJBBP6YY%22%2C%22library%22%3A%7B%22id%22%3A1093634%7D%2C%22meta%22%3A%7B%7D%2C%22bib%22%3A%22%26lt%3Bdiv%20class%3D%26quot%3Bcsl-bib-body%26quot%3B%20style%3D%26quot%3Bline-height%3A%201.35%3B%20%26quot%3B%26gt%3B%5Cn%20%20%26lt%3Bdiv%20class%3D%26quot%3Bcsl-entry%26quot%3B%20style%3D%26quot%3Bclear%3A%20left%3B%20%26quot%3B%26gt%3B%5Cn%20%20%20%20%26lt%3Bdiv%20class%3D%26quot%3Bcsl-left-margin%26quot%3B%20style%3D%26quot%3Bfloat%3A%20left%3B%20padding-right%3A%200.5em%3B%20text-align%3A%20right%3B%20width%3A%201em%3B%26quot%3B%26gt%3B1.%26lt%3B%5C%2Fdiv%26gt%3B%26lt%3Bdiv%20class%3D%26quot%3Bcsl-right-inline%26quot%3B%20style%3D%26quot%3Bmargin%3A%200%20.4em%200%201.5em%3B%26quot%3B%26gt%3B2019.%26lt%3B%5C%2Fdiv%26gt%3B%5Cn%20%20%20%26lt%3B%5C%2Fdiv%26gt%3B%5Cn%26lt%3B%5C%2Fdiv%26gt%3B%22%2C%22data%22%3A%7B%22parentItem%22%3A%22RKAEXJNU%22%2C%22itemType%22%3A%22annotation%22%2C%22annotationType%22%3A%22highlight%22%2C%22annotationText%22%3A%222019%22%2C%22annotationComment%22%3A%22%22%2C%22annotationColor%22%3A%22%23ffd400%22%2C%22annotationPageLabel%22%3A%221%22%2C%22annotationSortIndex%22%3A%2200000%7C001023%7C00356%22%2C%22annotationPosition%22%3A%22%7B%5C%22pageIndex%5C%22%3A0%2C%5C%22rects%5C%22%3A%5B%5B157.914%2C428.421%2C175.534%2C435.741%5D%5D%7D%22%2C%22dateModified%22%3A%222025-09-24T09%3A07%3A43Z%22%7D%7D%2C%7B%22key%22%3A%226W74YU8A%22%2C%22library%22%3A%7B%22id%22%3A1093634%7D%2C%22meta%22%3A%7B%7D%2C%22bib%22%3A%22%26lt%3Bdiv%20class%3D%26quot%3Bcsl-bib-body%26quot%3B%20style%3D%26quot%3Bline-height%3A%201.35%3B%20%26quot%3B%26gt%3B%5Cn%20%20%26lt%3Bdiv%20class%3D%26quot%3Bcsl-entry%26quot%3B%20style%3D%26quot%3Bclear%3A%20left%3B%20%26quot%3B%26gt%3B%5Cn%20%20%20%20%26lt%3Bdiv%20class%3D%26quot%3Bcsl-left-margin%26quot%3B%20style%3D%26quot%3Bfloat%3A%20left%3B%20padding-right%3A%200.5em%3B%20text-align%3A%20right%3B%20width%3A%201em%3B%26quot%3B%26gt%3B1.%26lt%3B%5C%2Fdiv%26gt%3B%26lt%3Bdiv%20class%3D%26quot%3Bcsl-right-inline%26quot%3B%20style%3D%26quot%3Bmargin%3A%200%20.4em%200%201.5em%3B%26quot%3B%26gt%3BQuality%20of%20Chronic%20Kidney%20Disease%20Management%26%23xA0%3B%20in%20Canadian%20Primary%20Care.%26lt%3B%5C%2Fdiv%26gt%3B%5Cn%20%20%20%26lt%3B%5C%2Fdiv%26gt%3B%5Cn%26lt%3B%5C%2Fdiv%26gt%3B%22%2C%22data%22%3A%7B%22parentItem%22%3A%22RKAEXJNU%22%2C%22itemType%22%3A%22annotation%22%2C%22annotationType%22%3A%22highlight%22%2C%22annotationText%22%3A%22Quality%20of%20Chronic%20Kidney%20Disease%20Management%20%20in%20Canadian%20Primary%20Care%22%2C%22annotationComment%22%3A%22%22%2C%22annotationColor%22%3A%22%23ffd400%22%2C%22annotationPageLabel%22%3A%221%22%2C%22annotationSortIndex%22%3A%2200000%7C000032%7C00086%22%2C%22annotationPosition%22%3A%22%7B%5C%22pageIndex%5C%22%3A0%2C%5C%22rects%5C%22%3A%5B%5B47.894%2C690.269%2C405.347%2C705.769%5D%2C%5B47.894%2C668.318%2C236.619%2C683.817%5D%5D%7D%22%2C%22dateModified%22%3A%222025-09-24T09%3A07%3A23Z%22%7D%7D%2C%7B%22key%22%3A%228QNE6QDR%22%2C%22library%22%3A%7B%22id%22%3A1093634%7D%2C%22meta%22%3A%7B%7D%2C%22bib%22%3A%22%26lt%3Bdiv%20class%3D%26quot%3Bcsl-bib-body%26quot%3B%20style%3D%26quot%3Bline-height%3A%201.35%3B%20%26quot%3B%26gt%3B%5Cn%20%20%26lt%3Bdiv%20class%3D%26quot%3Bcsl-entry%26quot%3B%20style%3D%26quot%3Bclear%3A%20left%3B%20%26quot%3B%26gt%3B%5Cn%20%20%20%20%26lt%3Bdiv%20class%3D%26quot%3Bcsl-left-margin%26quot%3B%20style%3D%26quot%3Bfloat%3A%20left%3B%20padding-right%3A%200.5em%3B%20text-align%3A%20right%3B%20width%3A%201em%3B%26quot%3B%26gt%3B1.%26lt%3B%5C%2Fdiv%26gt%3B%26lt%3Bdiv%20class%3D%26quot%3Bcsl-right-inline%26quot%3B%20style%3D%26quot%3Bmargin%3A%200%20.4em%200%201.5em%3B%26quot%3B%26gt%3BElectronic%20medical%26%23xA0%3B%20record.%26lt%3B%5C%2Fdiv%26gt%3B%5Cn%20%20%20%26lt%3B%5C%2Fdiv%26gt%3B%5Cn%26lt%3B%5C%2Fdiv%26gt%3B%22%2C%22data%22%3A%7B%22parentItem%22%3A%22DR2DXIYR%22%2C%22itemType%22%3A%22annotation%22%2C%22annotationType%22%3A%22highlight%22%2C%22annotationText%22%3A%22Electronic%20medical%20%20record%22%2C%22annotationComment%22%3A%22%22%2C%22annotationColor%22%3A%22%23ffd400%22%2C%22annotationPageLabel%22%3A%2211%22%2C%22annotationSortIndex%22%3A%2200010%7C000797%7C00710%22%2C%22annotationPosition%22%3A%22%7B%5C%22pageIndex%5C%22%3A10%2C%5C%22rects%5C%22%3A%5B%5B234.539%2C58.302%2C241.392%2C121.639%5D%2C%5B244.502%2C58.302%2C251.355%2C80.1%5D%5D%7D%22%2C%22dateModified%22%3A%222025-09-24T09%3A05%3A23Z%22%7D%7D%2C%7B%22key%22%3A%22G88L2LIA%22%2C%22library%22%3A%7B%22id%22%3A1093634%7D%2C%22meta%22%3A%7B%7D%2C%22bib%22%3A%22%26lt%3Bdiv%20class%3D%26quot%3Bcsl-bib-body%26quot%3B%20style%3D%26quot%3Bline-height%3A%201.35%3B%20%26quot%3B%26gt%3B%5Cn%20%20%26lt%3Bdiv%20class%3D%26quot%3Bcsl-entry%26quot%3B%20style%3D%26quot%3Bclear%3A%20left%3B%20%26quot%3B%26gt%3B%5Cn%20%20%20%20%26lt%3Bdiv%20class%3D%26quot%3Bcsl-left-margin%26quot%3B%20style%3D%26quot%3Bfloat%3A%20left%3B%20padding-right%3A%200.5em%3B%20text-align%3A%20right%3B%20width%3A%201em%3B%26quot%3B%26gt%3B1.%26lt%3B%5C%2Fdiv%26gt%3B%26lt%3Bdiv%20class%3D%26quot%3Bcsl-right-inline%26quot%3B%20style%3D%26quot%3Bmargin%3A%200%20.4em%200%201.5em%3B%26quot%3B%26gt%3B%26%23x2022%3B%20The%20estimated%20prevalence%20of%20CKD%20in%20France%20at%208%25%26%23x2013%3B10%25%20is%20close%20to%20that%20expected.%26lt%3B%5C%2Fdiv%26gt%3B%5Cn%20%20%20%26lt%3B%5C%2Fdiv%26gt%3B%5Cn%26lt%3B%5C%2Fdiv%26gt%3B%22%2C%22data%22%3A%7B%22parentItem%22%3A%22DR2DXIYR%22%2C%22itemType%22%3A%22annotation%22%2C%22annotationType%22%3A%22highlight%22%2C%22annotationText%22%3A%22%5Cu2022%20The%20estimated%20prevalence%20of%20CKD%20in%20France%20at%208%25%5Cu201310%25%20is%20close%20to%20that%20expected.%22%2C%22annotationComment%22%3A%22%22%2C%22annotationColor%22%3A%22%23ffd400%22%2C%22annotationPageLabel%22%3A%223%22%2C%22annotationSortIndex%22%3A%2200002%7C000403%7C00167%22%2C%22annotationPosition%22%3A%22%7B%5C%22pageIndex%5C%22%3A2%2C%5C%22rects%5C%22%3A%5B%5B74.355%2C616.432%2C378.524%2C623.775%5D%5D%7D%22%2C%22dateModified%22%3A%222025-09-24T09%3A03%3A23Z%22%7D%7D%2C%7B%22key%22%3A%22WZ4EFDPU%22%2C%22library%22%3A%7B%22id%22%3A1093634%7D%2C%22meta%22%3A%7B%7D%2C%22bib%22%3A%22%26lt%3Bdiv%20class%3D%26quot%3Bcsl-bib-body%26quot%3B%20style%3D%26quot%3Bline-height%3A%201.35%3B%20%26quot%3B%26gt%3B%5Cn%20%20%26lt%3Bdiv%20class%3D%26quot%3Bcsl-entry%26quot%3B%20style%3D%26quot%3Bclear%3A%20left%3B%20%26quot%3B%26gt%3B%5Cn%20%20%20%20%26lt%3Bdiv%20class%3D%26quot%3Bcsl-left-margin%26quot%3B%20style%3D%26quot%3Bfloat%3A%20left%3B%20padding-right%3A%200.5em%3B%20text-align%3A%20right%3B%20width%3A%201em%3B%26quot%3B%26gt%3B1.%26lt%3B%5C%2Fdiv%26gt%3B%26lt%3Bdiv%20class%3D%26quot%3Bcsl-right-inline%26quot%3B%20style%3D%26quot%3Bmargin%3A%200%20.4em%200%201.5em%3B%26quot%3B%26gt%3Bn%20France%2C%20the%20MONALISA%20study%20using%20three%20representative%20cross-sectional%20surveys%20in%20subjects%20aged%2035%26%23x2013%3B74.9%20years%20estimated%20the%20CKD%20prevalence%20at%208.2%25%20%2895%25%20CI%2C%207.4%26%23x2013%3B8.9%25%29.%26lt%3B%5C%2Fdiv%26gt%3B%5Cn%20%20%20%26lt%3B%5C%2Fdiv%26gt%3B%5Cn%26lt%3B%5C%2Fdiv%26gt%3B%22%2C%22data%22%3A%7B%22parentItem%22%3A%22DR2DXIYR%22%2C%22itemType%22%3A%22annotation%22%2C%22annotationType%22%3A%22highlight%22%2C%22annotationText%22%3A%22n%20France%2C%20the%20MONALISA%20study%20using%20three%20representative%20cross-sectional%20surveys%20in%20subjects%20aged%2035%5Cu201374.9%20years%20estimated%20the%20CKD%20prevalence%20at%208.2%25%20%2895%25%20CI%2C%207.4%5Cu20138.9%25%29%22%2C%22annotationComment%22%3A%22%22%2C%22annotationColor%22%3A%22%23ffd400%22%2C%22annotationPageLabel%22%3A%228%22%2C%22annotationSortIndex%22%3A%2200007%7C001391%7C00475%22%2C%22annotationPosition%22%3A%22%7B%5C%22pageIndex%5C%22%3A7%2C%5C%22rects%5C%22%3A%5B%5B228.498%2C308.3%2C297.942%2C315.642%5D%2C%5B64.527%2C297.796%2C297.804%2C305.139%5D%2C%5B64.527%2C287.303%2C297.89%2C294.645%5D%2C%5B64.527%2C276.8%2C145.262%2C284.142%5D%5D%7D%22%2C%22dateModified%22%3A%222025-09-24T08%3A59%3A46Z%22%7D%7D%2C%7B%22key%22%3A%222XNSCD9A%22%2C%22library%22%3A%7B%22id%22%3A1093634%7D%2C%22meta%22%3A%7B%7D%2C%22bib%22%3A%22%26lt%3Bdiv%20class%3D%26quot%3Bcsl-bib-body%26quot%3B%20style%3D%26quot%3Bline-height%3A%201.35%3B%20%26quot%3B%26gt%3B%5Cn%20%20%26lt%3Bdiv%20class%3D%26quot%3Bcsl-entry%26quot%3B%20style%3D%26quot%3Bclear%3A%20left%3B%20%26quot%3B%26gt%3B%5Cn%20%20%20%20%26lt%3Bdiv%20class%3D%26quot%3Bcsl-left-margin%26quot%3B%20style%3D%26quot%3Bfloat%3A%20left%3B%20padding-right%3A%200.5em%3B%20text-align%3A%20right%3B%20width%3A%201em%3B%26quot%3B%26gt%3B1.%26lt%3B%5C%2Fdiv%26gt%3B%26lt%3Bdiv%20class%3D%26quot%3Bcsl-right-inline%26quot%3B%20style%3D%26quot%3Bmargin%3A%200%20.4em%200%201.5em%3B%26quot%3B%26gt%3B18%25%20of%20individuals%20treated%20for%20diabetes.%26lt%3B%5C%2Fdiv%26gt%3B%5Cn%20%20%20%26lt%3B%5C%2Fdiv%26gt%3B%5Cn%26lt%3B%5C%2Fdiv%26gt%3B%22%2C%22data%22%3A%7B%22parentItem%22%3A%22DR2DXIYR%22%2C%22itemType%22%3A%22annotation%22%2C%22annotationType%22%3A%22highlight%22%2C%22annotationText%22%3A%2218%25%20of%20individuals%20treated%20for%20diabetes%22%2C%22annotationComment%22%3A%22%22%2C%22annotationColor%22%3A%22%23ffd400%22%2C%22annotationPageLabel%22%3A%225%22%2C%22annotationSortIndex%22%3A%2200004%7C004950%7C00619%22%2C%22annotationPosition%22%3A%22%7B%5C%22pageIndex%5C%22%3A4%2C%5C%22rects%5C%22%3A%5B%5B452.877%2C164.048%2C548.062%2C171.39%5D%2C%5B314.709%2C153.544%2C357.569%2C160.887%5D%5D%7D%22%2C%22dateModified%22%3A%222025-09-24T08%3A58%3A33Z%22%7D%7D%2C%7B%22key%22%3A%22MX9VFK4H%22%2C%22library%22%3A%7B%22id%22%3A1093634%7D%2C%22meta%22%3A%7B%7D%2C%22bib%22%3A%22%26lt%3Bdiv%20class%3D%26quot%3Bcsl-bib-body%26quot%3B%20style%3D%26quot%3Bline-height%3A%201.35%3B%20%26quot%3B%26gt%3B%5Cn%20%20%26lt%3Bdiv%20class%3D%26quot%3Bcsl-entry%26quot%3B%20style%3D%26quot%3Bclear%3A%20left%3B%20%26quot%3B%26gt%3B%5Cn%20%20%20%20%26lt%3Bdiv%20class%3D%26quot%3Bcsl-left-margin%26quot%3B%20style%3D%26quot%3Bfloat%3A%20left%3B%20padding-right%3A%200.5em%3B%20text-align%3A%20right%3B%20width%3A%201em%3B%26quot%3B%26gt%3B1.%26lt%3B%5C%2Fdiv%26gt%3B%26lt%3Bdiv%20class%3D%26quot%3Bcsl-right-inline%26quot%3B%20style%3D%26quot%3Bmargin%3A%200%20.4em%200%201.5em%3B%26quot%3B%26gt%3B54%25%20women.%26lt%3B%5C%2Fdiv%26gt%3B%5Cn%20%20%20%26lt%3B%5C%2Fdiv%26gt%3B%5Cn%26lt%3B%5C%2Fdiv%26gt%3B%22%2C%22data%22%3A%7B%22parentItem%22%3A%22DR2DXIYR%22%2C%22itemType%22%3A%22annotation%22%2C%22annotationType%22%3A%22highlight%22%2C%22annotationText%22%3A%2254%25%20women%22%2C%22annotationComment%22%3A%22%22%2C%22annotationColor%22%3A%22%23ffd400%22%2C%22annotationPageLabel%22%3A%225%22%2C%22annotationSortIndex%22%3A%2200004%7C004856%7C00598%22%2C%22annotationPosition%22%3A%22%7B%5C%22pageIndex%5C%22%3A4%2C%5C%22rects%5C%22%3A%5B%5B503.872%2C185.044%2C548.096%2C192.387%5D%5D%7D%22%2C%22dateModified%22%3A%222025-09-24T08%3A56%3A01Z%22%7D%7D%2C%7B%22key%22%3A%22AFM6WFE2%22%2C%22library%22%3A%7B%22id%22%3A1093634%7D%2C%22meta%22%3A%7B%7D%2C%22bib%22%3A%22%26lt%3Bdiv%20class%3D%26quot%3Bcsl-bib-body%26quot%3B%20style%3D%26quot%3Bline-height%3A%201.35%3B%20%26quot%3B%26gt%3B%5Cn%20%20%26lt%3Bdiv%20class%3D%26quot%3Bcsl-entry%26quot%3B%20style%3D%26quot%3Bclear%3A%20left%3B%20%26quot%3B%26gt%3B%5Cn%20%20%20%20%26lt%3Bdiv%20class%3D%26quot%3Bcsl-left-margin%26quot%3B%20style%3D%26quot%3Bfloat%3A%20left%3B%20padding-right%3A%200.5em%3B%20text-align%3A%20right%3B%20width%3A%201em%3B%26quot%3B%26gt%3B1.%26lt%3B%5C%2Fdiv%26gt%3B%26lt%3Bdiv%20class%3D%26quot%3Bcsl-right-inline%26quot%3B%20style%3D%26quot%3Bmargin%3A%200%20.4em%200%201.5em%3B%26quot%3B%26gt%3Bin%20the%20%26%23x2018%3Blikely%26%23x2019%3B%20group.%26lt%3B%5C%2Fdiv%26gt%3B%5Cn%20%20%20%26lt%3B%5C%2Fdiv%26gt%3B%5Cn%26lt%3B%5C%2Fdiv%26gt%3B%22%2C%22data%22%3A%7B%22parentItem%22%3A%22DR2DXIYR%22%2C%22itemType%22%3A%22annotation%22%2C%22annotationType%22%3A%22highlight%22%2C%22annotationText%22%3A%22in%20the%20%5Cu2018likely%5Cu2019%20group%22%2C%22annotationComment%22%3A%22%22%2C%22annotationColor%22%3A%22%23ffd400%22%2C%22annotationPageLabel%22%3A%225%22%2C%22annotationSortIndex%22%3A%2200004%7C004739%7C00577%22%2C%22annotationPosition%22%3A%22%7B%5C%22pageIndex%5C%22%3A4%2C%5C%22rects%5C%22%3A%5B%5B476.844%2C206.042%2C546.359%2C213.384%5D%5D%7D%22%2C%22dateModified%22%3A%222025-09-24T08%3A54%3A43Z%22%7D%7D%2C%7B%22key%22%3A%22L4NFTMBB%22%2C%22library%22%3A%7B%22id%22%3A1093634%7D%2C%22meta%22%3A%7B%7D%2C%22bib%22%3A%22%26lt%3Bdiv%20class%3D%26quot%3Bcsl-bib-body%26quot%3B%20style%3D%26quot%3Bline-height%3A%201.35%3B%20%26quot%3B%26gt%3B%5Cn%20%20%26lt%3Bdiv%20class%3D%26quot%3Bcsl-entry%26quot%3B%20style%3D%26quot%3Bclear%3A%20left%3B%20%26quot%3B%26gt%3B%5Cn%20%20%20%20%26lt%3Bdiv%20class%3D%26quot%3Bcsl-left-margin%26quot%3B%20style%3D%26quot%3Bfloat%3A%20left%3B%20padding-right%3A%200.5em%3B%20text-align%3A%20right%3B%20width%3A%201em%3B%26quot%3B%26gt%3B1.%26lt%3B%5C%2Fdiv%26gt%3B%26lt%3Bdiv%20class%3D%26quot%3Bcsl-right-inline%26quot%3B%20style%3D%26quot%3Bmargin%3A%200%20.4em%200%201.5em%3B%26quot%3B%26gt%3Bin%20the%20%26%23x2018%3Bcertain%26%23x2019%3B%20group%2C%2068%20years.%26lt%3B%5C%2Fdiv%26gt%3B%5Cn%20%20%20%26lt%3B%5C%2Fdiv%26gt%3B%5Cn%26lt%3B%5C%2Fdiv%26gt%3B%22%2C%22data%22%3A%7B%22parentItem%22%3A%22DR2DXIYR%22%2C%22itemType%22%3A%22annotation%22%2C%22annotationType%22%3A%22highlight%22%2C%22annotationText%22%3A%22in%20the%20%5Cu2018certain%5Cu2019%20group%2C%2068%20years%22%2C%22annotationComment%22%3A%22%22%2C%22annotationColor%22%3A%22%23ffd400%22%2C%22annotationPageLabel%22%3A%225%22%2C%22annotationSortIndex%22%3A%2200004%7C004778%7C00587%22%2C%22annotationPosition%22%3A%22%7B%5C%22pageIndex%5C%22%3A4%2C%5C%22rects%5C%22%3A%5B%5B404.088%2C195.548%2C517.539%2C202.89%5D%5D%7D%22%2C%22dateModified%22%3A%222025-09-24T08%3A54%3A34Z%22%7D%7D%2C%7B%22key%22%3A%22XHQDQ6SU%22%2C%22library%22%3A%7B%22id%22%3A1093634%7D%2C%22meta%22%3A%7B%7D%2C%22bib%22%3A%22%26lt%3Bdiv%20class%3D%26quot%3Bcsl-bib-body%26quot%3B%20style%3D%26quot%3Bline-height%3A%201.35%3B%20%26quot%3B%26gt%3B%5Cn%20%20%26lt%3Bdiv%20class%3D%26quot%3Bcsl-entry%26quot%3B%20style%3D%26quot%3Bclear%3A%20left%3B%20%26quot%3B%26gt%3B%5Cn%20%20%20%20%26lt%3Bdiv%20class%3D%26quot%3Bcsl-left-margin%26quot%3B%20style%3D%26quot%3Bfloat%3A%20left%3B%20padding-right%3A%200.5em%3B%20text-align%3A%20right%3B%20width%3A%201em%3B%26quot%3B%26gt%3B1.%26lt%3B%5C%2Fdiv%26gt%3B%26lt%3Bdiv%20class%3D%26quot%3Bcsl-right-inline%26quot%3B%20style%3D%26quot%3Bmargin%3A%200%20.4em%200%201.5em%3B%26quot%3B%26gt%3BThe%20median%20age%20was%2067%20years.%26lt%3B%5C%2Fdiv%26gt%3B%5Cn%20%20%20%26lt%3B%5C%2Fdiv%26gt%3B%5Cn%26lt%3B%5C%2Fdiv%26gt%3B%22%2C%22data%22%3A%7B%22parentItem%22%3A%22DR2DXIYR%22%2C%22itemType%22%3A%22annotation%22%2C%22annotationType%22%3A%22highlight%22%2C%22annotationText%22%3A%22The%20median%20age%20was%2067%20years%22%2C%22annotationComment%22%3A%22%22%2C%22annotationColor%22%3A%22%23ffd400%22%2C%22annotationPageLabel%22%3A%225%22%2C%22annotationSortIndex%22%3A%2200004%7C004683%7C00566%22%2C%22annotationPosition%22%3A%22%7B%5C%22pageIndex%5C%22%3A4%2C%5C%22rects%5C%22%3A%5B%5B464.488%2C216.544%2C548.155%2C223.887%5D%2C%5B314.709%2C206.042%2C334.289%2C213.384%5D%5D%7D%22%2C%22dateModified%22%3A%222025-09-24T08%3A54%3A30Z%22%7D%7D%2C%7B%22key%22%3A%22AWDYR4TG%22%2C%22library%22%3A%7B%22id%22%3A1093634%7D%2C%22meta%22%3A%7B%7D%2C%22bib%22%3A%22%26lt%3Bdiv%20class%3D%26quot%3Bcsl-bib-body%26quot%3B%20style%3D%26quot%3Bline-height%3A%201.35%3B%20%26quot%3B%26gt%3B%5Cn%20%20%26lt%3Bdiv%20class%3D%26quot%3Bcsl-entry%26quot%3B%20style%3D%26quot%3Bclear%3A%20left%3B%20%26quot%3B%26gt%3B%5Cn%20%20%20%20%26lt%3Bdiv%20class%3D%26quot%3Bcsl-left-margin%26quot%3B%20style%3D%26quot%3Bfloat%3A%20left%3B%20padding-right%3A%200.5em%3B%20text-align%3A%20right%3B%20width%3A%201em%3B%26quot%3B%26gt%3B1.%26lt%3B%5C%2Fdiv%26gt%3B%26lt%3Bdiv%20class%3D%26quot%3Bcsl-right-inline%26quot%3B%20style%3D%26quot%3Bmargin%3A%200%20.4em%200%201.5em%3B%26quot%3B%26gt%3Bn%202021%2C%20representing%20an%20estimated%20prevalence%20in%20the%20general%20population%20increasing%20from%208.1%25%20to%2010.5%25.%26lt%3B%5C%2Fdiv%26gt%3B%5Cn%20%20%20%26lt%3B%5C%2Fdiv%26gt%3B%5Cn%26lt%3B%5C%2Fdiv%26gt%3B%22%2C%22data%22%3A%7B%22parentItem%22%3A%22DR2DXIYR%22%2C%22itemType%22%3A%22annotation%22%2C%22annotationType%22%3A%22highlight%22%2C%22annotationText%22%3A%22n%202021%2C%20representing%20an%20estimated%20prevalence%20in%20the%20general%20population%20increasing%20from%208.1%25%20to%2010.5%25%22%2C%22annotationComment%22%3A%22%22%2C%22annotationColor%22%3A%22%23ffd400%22%2C%22annotationPageLabel%22%3A%225%22%2C%22annotationSortIndex%22%3A%2200004%7C004350%7C00503%22%2C%22annotationPosition%22%3A%22%7B%5C%22pageIndex%5C%22%3A4%2C%5C%22rects%5C%22%3A%5B%5B391.551%2C279.545%2C548.09%2C286.887%5D%2C%5B314.709%2C269.041%2C548.063%2C276.384%5D%5D%7D%22%2C%22dateModified%22%3A%222025-09-24T08%3A54%3A22Z%22%7D%7D%2C%7B%22key%22%3A%22HLH5VSDX%22%2C%22library%22%3A%7B%22id%22%3A1093634%7D%2C%22meta%22%3A%7B%7D%2C%22bib%22%3A%22%26lt%3Bdiv%20class%3D%26quot%3Bcsl-bib-body%26quot%3B%20style%3D%26quot%3Bline-height%3A%201.35%3B%20%26quot%3B%26gt%3B%5Cn%20%20%26lt%3Bdiv%20class%3D%26quot%3Bcsl-entry%26quot%3B%20style%3D%26quot%3Bclear%3A%20left%3B%20%26quot%3B%26gt%3B%5Cn%20%20%20%20%26lt%3Bdiv%20class%3D%26quot%3Bcsl-left-margin%26quot%3B%20style%3D%26quot%3Bfloat%3A%20left%3B%20padding-right%3A%200.5em%3B%20text-align%3A%20right%3B%20width%3A%201em%3B%26quot%3B%26gt%3B1.%26lt%3B%5C%2Fdiv%26gt%3B%26lt%3Bdiv%20class%3D%26quot%3Bcsl-right-inline%26quot%3B%20style%3D%26quot%3Bmargin%3A%200%20.4em%200%201.5em%3B%26quot%3B%26gt%3BRENALGO-EXPERT%20algorithm%20identified%204.5%25%20of%20the%20volunteers%20in%20the%20CONSTANCES%20as%20CKD.%26lt%3B%5C%2Fdiv%26gt%3B%5Cn%20%20%20%26lt%3B%5C%2Fdiv%26gt%3B%5Cn%26lt%3B%5C%2Fdiv%26gt%3B%22%2C%22data%22%3A%7B%22parentItem%22%3A%22DR2DXIYR%22%2C%22itemType%22%3A%22annotation%22%2C%22annotationType%22%3A%22highlight%22%2C%22annotationText%22%3A%22RENALGO-EXPERT%20algorithm%20identified%204.5%25%20of%20the%20volunteers%20in%20the%20CONSTANCES%20as%20CKD%22%2C%22annotationComment%22%3A%22%22%2C%22annotationColor%22%3A%22%23ffd400%22%2C%22annotationPageLabel%22%3A%222%22%2C%22annotationSortIndex%22%3A%2200001%7C000102%7C00075%22%2C%22annotationPosition%22%3A%22%7B%5C%22pageIndex%5C%22%3A1%2C%5C%22rects%5C%22%3A%5B%5B64.527%2C707.091%2C417.572%2C714.923%5D%5D%7D%22%2C%22dateModified%22%3A%222025-09-24T08%3A41%3A55Z%22%7D%7D%2C%7B%22key%22%3A%226KVQUSUJ%22%2C%22library%22%3A%7B%22id%22%3A1093634%7D%2C%22meta%22%3A%7B%7D%2C%22bib%22%3A%22%26lt%3Bdiv%20class%3D%26quot%3Bcsl-bib-body%26quot%3B%20style%3D%26quot%3Bline-height%3A%201.35%3B%20%26quot%3B%26gt%3B%5Cn%20%20%26lt%3Bdiv%20class%3D%26quot%3Bcsl-entry%26quot%3B%20style%3D%26quot%3Bclear%3A%20left%3B%20%26quot%3B%26gt%3B%5Cn%20%20%20%20%26lt%3Bdiv%20class%3D%26quot%3Bcsl-left-margin%26quot%3B%20style%3D%26quot%3Bfloat%3A%20left%3B%20padding-right%3A%200.5em%3B%20text-align%3A%20right%3B%20width%3A%201em%3B%26quot%3B%26gt%3B1.%26lt%3B%5C%2Fdiv%26gt%3B%26lt%3Bdiv%20class%3D%26quot%3Bcsl-right-inline%26quot%3B%20style%3D%26quot%3Bmargin%3A%200%20.4em%200%201.5em%3B%26quot%3B%26gt%3Bthe%20estimated%20prevalence%20in%20the%20SNDS%20increased%20from%208.1%25%20to%2010.5%25.%26lt%3B%5C%2Fdiv%26gt%3B%5Cn%20%20%20%26lt%3B%5C%2Fdiv%26gt%3B%5Cn%26lt%3B%5C%2Fdiv%26gt%3B%22%2C%22data%22%3A%7B%22parentItem%22%3A%22DR2DXIYR%22%2C%22itemType%22%3A%22annotation%22%2C%22annotationType%22%3A%22highlight%22%2C%22annotationText%22%3A%22the%20estimated%20prevalence%20in%20the%20SNDS%20increased%20from%208.1%25%20to%2010.5%25%22%2C%22annotationComment%22%3A%22%22%2C%22annotationColor%22%3A%22%23ffd400%22%2C%22annotationPageLabel%22%3A%222%22%2C%22annotationSortIndex%22%3A%2200001%7C000043%7C00064%22%2C%22annotationPosition%22%3A%22%7B%5C%22pageIndex%5C%22%3A1%2C%5C%22rects%5C%22%3A%5B%5B195.097%2C718.053%2C459.714%2C725.885%5D%5D%7D%22%2C%22dateModified%22%3A%222025-09-24T08%3A41%3A40Z%22%7D%7D%2C%7B%22key%22%3A%227PEZ4939%22%2C%22library%22%3A%7B%22id%22%3A1093634%7D%2C%22meta%22%3A%7B%7D%2C%22bib%22%3A%22%26lt%3Bdiv%20class%3D%26quot%3Bcsl-bib-body%26quot%3B%20style%3D%26quot%3Bline-height%3A%201.35%3B%20%26quot%3B%26gt%3B%5Cn%20%20%26lt%3Bdiv%20class%3D%26quot%3Bcsl-entry%26quot%3B%20style%3D%26quot%3Bclear%3A%20left%3B%20%26quot%3B%26gt%3B%5Cn%20%20%20%20%26lt%3Bdiv%20class%3D%26quot%3Bcsl-left-margin%26quot%3B%20style%3D%26quot%3Bfloat%3A%20left%3B%20padding-right%3A%200.5em%3B%20text-align%3A%20right%3B%20width%3A%201em%3B%26quot%3B%26gt%3B1.%26lt%3B%5C%2Fdiv%26gt%3B%26lt%3Bdiv%20class%3D%26quot%3Bcsl-right-inline%26quot%3B%20style%3D%26quot%3Bmargin%3A%200%20.4em%200%201.5em%3B%26quot%3B%26gt%3BCONSTANCES.%26lt%3B%5C%2Fdiv%26gt%3B%5Cn%20%20%20%26lt%3B%5C%2Fdiv%26gt%3B%5Cn%26lt%3B%5C%2Fdiv%26gt%3B%22%2C%22data%22%3A%7B%22parentItem%22%3A%22DR2DXIYR%22%2C%22itemType%22%3A%22annotation%22%2C%22annotationType%22%3A%22highlight%22%2C%22annotationText%22%3A%22CONSTANCES%22%2C%22annotationComment%22%3A%22%22%2C%22annotationColor%22%3A%22%23ffd400%22%2C%22annotationPageLabel%22%3A%221%22%2C%22annotationSortIndex%22%3A%2200000%7C002208%7C00649%22%2C%22annotationPosition%22%3A%22%7B%5C%22pageIndex%5C%22%3A0%2C%5C%22rects%5C%22%3A%5B%5B365.924%2C133.053%2C420.325%2C141.189%5D%5D%7D%22%2C%22dateModified%22%3A%222025-09-24T08%3A41%3A33Z%22%7D%7D%2C%7B%22key%22%3A%22XJRBALW5%22%2C%22library%22%3A%7B%22id%22%3A1093634%7D%2C%22meta%22%3A%7B%7D%2C%22bib%22%3A%22%26lt%3Bdiv%20class%3D%26quot%3Bcsl-bib-body%26quot%3B%20style%3D%26quot%3Bline-height%3A%201.35%3B%20%26quot%3B%26gt%3B%5Cn%20%20%26lt%3Bdiv%20class%3D%26quot%3Bcsl-entry%26quot%3B%20style%3D%26quot%3Bclear%3A%20left%3B%20%26quot%3B%26gt%3B%5Cn%20%20%20%20%26lt%3Bdiv%20class%3D%26quot%3Bcsl-left-margin%26quot%3B%20style%3D%26quot%3Bfloat%3A%20left%3B%20padding-right%3A%200.5em%3B%20text-align%3A%20right%3B%20width%3A%201em%3B%26quot%3B%26gt%3B1.%26lt%3B%5C%2Fdiv%26gt%3B%26lt%3Bdiv%20class%3D%26quot%3Bcsl-right-inline%26quot%3B%20style%3D%26quot%3Bmargin%3A%200%20.4em%200%201.5em%3B%26quot%3B%26gt%3BSNDS.%26lt%3B%5C%2Fdiv%26gt%3B%5Cn%20%20%20%26lt%3B%5C%2Fdiv%26gt%3B%5Cn%26lt%3B%5C%2Fdiv%26gt%3B%22%2C%22data%22%3A%7B%22parentItem%22%3A%22DR2DXIYR%22%2C%22itemType%22%3A%22annotation%22%2C%22annotationType%22%3A%22highlight%22%2C%22annotationText%22%3A%22SNDS%22%2C%22annotationComment%22%3A%22%22%2C%22annotationColor%22%3A%22%23ffd400%22%2C%22annotationPageLabel%22%3A%221%22%2C%22annotationSortIndex%22%3A%2200000%7C002106%7C00639%22%2C%22annotationPosition%22%3A%22%7B%5C%22pageIndex%5C%22%3A0%2C%5C%22rects%5C%22%3A%5B%5B359.939%2C144.006%2C381.872%2C151.838%5D%5D%7D%22%2C%22dateModified%22%3A%222025-09-24T08%3A41%3A30Z%22%7D%7D%5D%7D
1.
13.4% of participants fell within the KDIGO 2012 moderate risk CKD, 0.9–5.6% within the high-risk group and 0.3–4.8% within the very high-risk group.
1.
Orlandi PF, Huang J, Fukagawa M, et al. A collaborative, individual-level analysis compared longitudinal outcomes across the International Network of Chronic Kidney Disease (iNETCKD) cohorts. Kidney Int. 2019;96:1217–33.
1.
Fig. 3 Prevalence of each KDIGO 2012 category in general population samples.
1.
Applying KDIGO criteria, 450 (50%) were defined as moderate risk, 86 (10%) high risk and 69 (8%) very high risk. 33% did not have a uACR recorded to determine risk.
1.
905 patients met the inclusion criteria (6% of the population).
1.
Primary Care software to extract data.
1.
Introducing a Cardiovascular Renal Metabolic Service to Optimise the Management of Chronic Kidney Disease in Primary Care. An Interface Project.
1.
Linden P, Leonard N, Conlan J. Introducing a Cardiovascular Renal Metabolic Service to Optimise the Management of Chronic Kidney Disease in Primary Care. An Interface Project. | International Journal of Integrated Care. 2025 Apr 9 [cited 2025 Sept 24]; Available from:
https://ijic.org/articles/10.5334/ijic.ICIC24496
1.
public and private facilities.
1.
Risk profile, quality of life and care of patients with moderate and advanced CKD: The French CKD-REIN Cohort Study.
1.
Overall distribution according to KDIGO 2012 risk groups showed 7.4% at low or moderate, 15.8% at high and 65.5% at very high risk, while 11.2% were unclassified due to missing albuminuria (Figure 1.
1.
23. Stengel B, Metzger M, Combe C, et al. Risk profile, quality of life and care of patients with moderate and advanced CKD: the French CKD-REIN Cohort Study. Nephrol Dial Transplant. 2019;34:277–86.
1.
participants fell within the KDIGO 2012 lowrisk group, 3.7–13.4% within the moderately increased risk group, 0.9–5.6% within the highrisk group and 0.3–4.8% within the very highrisk group.
1.
ost fell within the KDIGO 2012 low-risk or moderate-risk groups, with 0.9–5.6% in the high-risk and 0.3–4.8% in the very high-risk groups.
1.
revalence of CKD (GFR categories G3–5), ranging from 2% to 17%.
1.
Burden of Chronic Kidney Disease by KDIGO Categories of Glomerular Filtration Rate and Albuminuria: A Systematic Review.
1.
CKD stage at first qualifying eGFR measurement.
1.
testing within 6 months of CKD diagnosis.
1.
6529 patients with CKD (18.4%) received follow-up urine albumin to creatinine ratio (UACR.
1.
With Diabetes and Hypertension (n = 14 859 [32.2%]).
1.
With Diabetes (n = 6770 [14.7%]).
1.
6770 (14.7%) had diabetes without hypertension, 16 930 (36.7%) had hypertension only, and 14 859 (32.2%) had both diabetes and hypertension.
1.
6 162 patients (mean [SD] age, 69.2 [14.0] years; 25 855 [56.0%] female) from primary care practices.
1.
Only 6529 patients (18.4%) with CKD received a urine albumin test within 6 months of CKD diagnosis,.
1.
46 162 patients (mean [SD] age, 69.2 [14.0].
1.
Quality of Chronic Kidney Disease Management in Canadian Primary Care.
1.
Electronic medical record.
1.
• The estimated prevalence of CKD in France at 8%–10% is close to that expected.
1.
n France, the MONALISA study using three representative cross-sectional surveys in subjects aged 35–74.9 years estimated the CKD prevalence at 8.2% (95% CI, 7.4–8.9%).
1.
18% of individuals treated for diabetes.
1.
in the ‘certain’ group, 68 years.
1.
The median age was 67 years.
1.
n 2021, representing an estimated prevalence in the general population increasing from 8.1% to 10.5%.
1.
RENALGO-EXPERT algorithm identified 4.5% of the volunteers in the CONSTANCES as CKD.
1.
the estimated prevalence in the SNDS increased from 8.1% to 10.5%.
Laisser un commentaire
Vous devez vous connecter pour publier un commentaire.